Army
Business
Legal
Letters
Life
Real Estate
Tax
Wills
Blog
Upload
Application Packet for Registration of Nonconforming Use - City of San Antonio, Texas
Fill
PDF
Online
PDF
Word
Army
Business
Legal
Letters
Life
Real Estate
Tax
Wills
Blog
Upload
Home
Legal
United States Legal Forms
Texas Legal Forms
Development Services Department - City of San Antonio, Texas
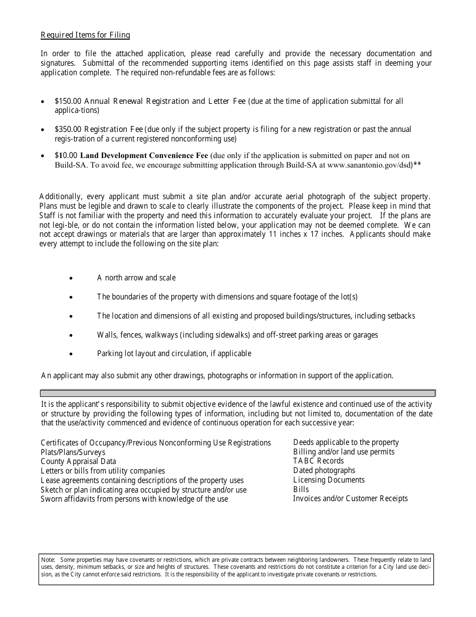
Application Packet for Registration of Nonconforming Use - City of San Antonio, Texas
Application Packet for Registration of Nonconforming Use - City of San Antonio, Texas
Preview
Fill
PDF
Online
PDF
Word
Fill PDF Online
Fill out online for free
without registration or credit card
ADVERTISEMENT
Download Application Packet for Registration of Nonconforming Use - City of San Antonio, Texas
4.7
of 5
(
36 votes
)
PDF
Word
Fill PDF Online
1
2
3
Prev
1
2
3
Next
ADVERTISEMENT
Linked Topics
Development Services Department - City of San Antonio, Texas
Texas Legal Forms
Legal
United States Legal Forms
Preview
Fill
PDF
Online
PDF
Word
Related Documents
Application to Register a Nonconforming Use - City of San Antonio, Texas
Form 5830 Contract Application Packet Checklist, State Office Enrolled - Texas
Land Loan Application Packet - Texas
Employment Application Packet - City of Jersey Village, Texas
Txmas Offer Packet Application Checklist - Texas
DD Form 3190 Application Packet for New Applicants - Credentialing Program for Prevention Personnel (D-Cppp)
DD Form 3191 Application Packet for Renewal Applicants - Credentialing Program for Prevention Personnel (D-Cppp)
Form 5831 Contract Application Packet Checklist, Regionally Enrolled - Texas
Form 5873 Contract Application Packet Checklist - Waiver and Community-Based Programs and Services - Medicaid and Chip Services - Texas
Texas Master Plumber Registration Application - City of San Antonio, Texas
Demolition Contractor Registration Application - City of San Antonio, Texas
Home Builder Contractor Registration Application - City of San Antonio, Texas
Sidewalk & Curb Contractor Registration Application - City of San Antonio, Texas
Texas Irrigator Contractor Registration Application - City of San Antonio, Texas
Home Improvement Contractor Registration Application - City of San Antonio, Texas
Electrical Maintenance Technician Registration Application - City of San Antonio, Texas
Funeral Director/Embalmer Reinstatement Application Packet - Texas
Texas Multiple Award Schedule (Txmas) Offer Packet Application Checklist - Texas
DD Form 2950 Department of Defense Sexual Assault Advocate Certification Program (D-Saacp) Application Packet for New Applicants
DD Form 2950-1 Department of Defense Sexual Assault Advocate Certification Program (D-Saacp) Application Packet for Renewal Applicants