Army
Business
Legal
Letters
Life
Real Estate
Tax
Wills
Blog
Upload
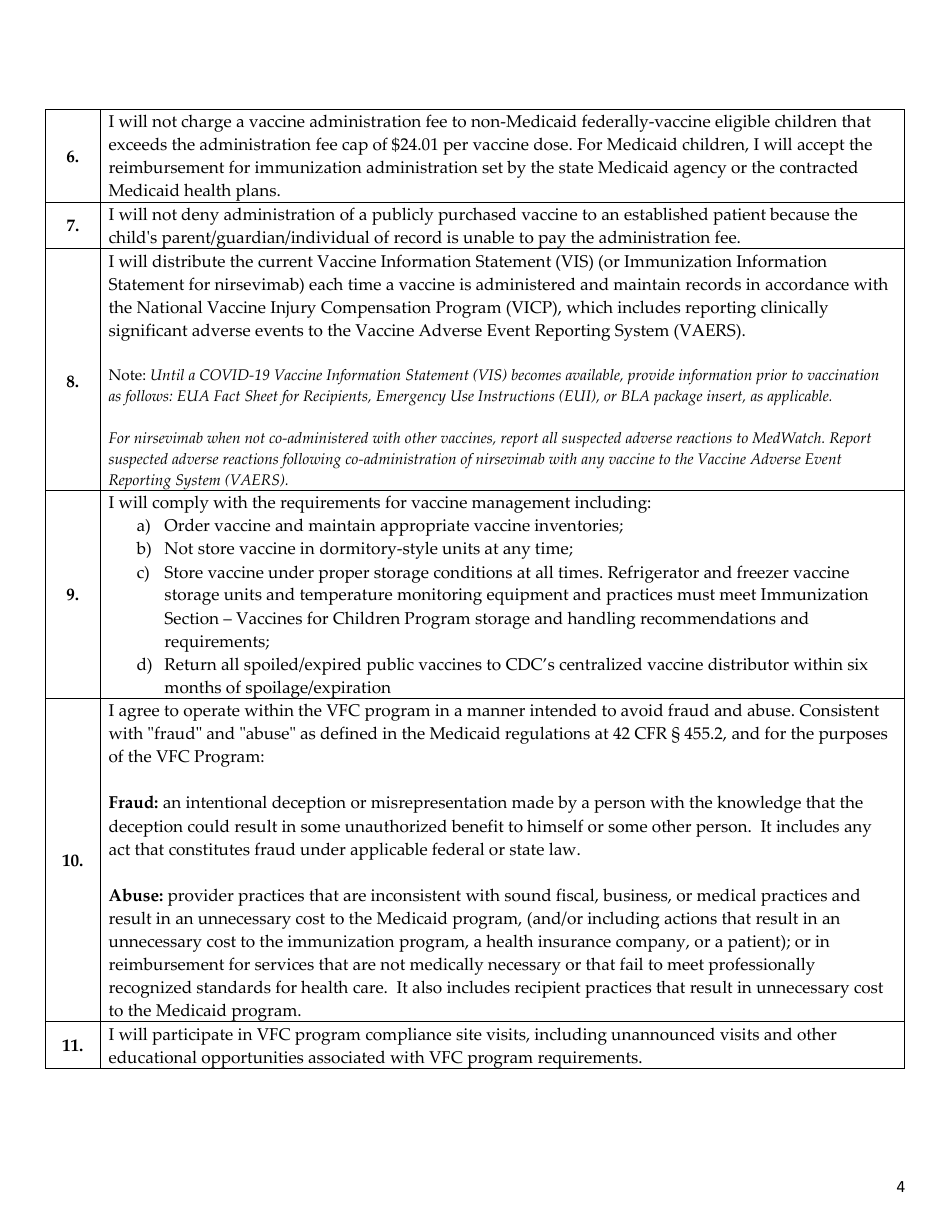
Vaccines for Children Program Provider Agreement - Florida
Fill
PDF
Online
PDF
Word
Army
Business
Legal
Letters
Life
Real Estate
Tax
Wills
Blog
Upload
Home
Legal
United States Legal Forms
Florida Legal Forms
Florida Department of Health
Vaccines for Children Program Provider Agreement - Florida
Vaccines for Children Program Provider Agreement - Florida
Preview
Fill
PDF
Online
PDF
Word
Fill PDF Online
Fill out online for free
without registration or credit card
ADVERTISEMENT
Download Vaccines for Children Program Provider Agreement - Florida
4.4
of 5
(
14 votes
)
PDF
Word
Fill PDF Online
1
2
3
4
5
6
7
Prev
1
2
3
4
5
...
7
Next
ADVERTISEMENT
Linked Topics
Florida Department of Health
Florida Legal Forms
Legal
United States Legal Forms
Preview
Fill
PDF
Online
PDF
Word
Related Documents
Vaccine Usage Worksheet - Florida Vaccines for Children (Vfc) Program - Florida
Consent, Permission and Release for Use of Photo, Video and/or Audio - Florida
Covid-19 Vaccine Consent Form for Child Under 18 or Adult Conservatee - Oklahoma Example
OPM Form 1644 Child Care Provider Information for Child Care Subsidy Program for Federal Employees
DA Form 5226-R Child Development Services (Cds) Sponsor/Program Agreement
Disenrollment Form - Florida Vaccines for Children (Vfc) Program - Florida
VA Form 10-10145 Veterans Choice Program Provider Agreement
Additional Information Form - Florida Vaccines for Children Program - Florida
Patient Eligibility Screening Record - Vaccines for Children Program for Family Planning Clinics - Florida
AETC Form 130 Initial Flight Training (Ift) Provider Consent Agreement
Patient Eligibility Screening Record - Florida Vaccines for Children Program - Florida
Suspected Fraud and Abuse Report Form - Florida Vaccines for Children (Vfc) Program - Florida
Cooler Temperature Log for off-Site Immunization Activities - Florida Vaccines for Children (Vfc) Program - Florida
Publicacion Del Comunicado De Prensa Para Programas Sin Tarifa - Florida (Spanish)
Formulario HUD-90105-A Modelo De Arrendamiento Para Programas Subsidiados (Spanish)
Formulario RD3555 Acuerdo De Participacion En Programas De Prestamos Garantizados/Asegurados Para Vivienda Unifamiliar Del Gobierno De Los Estados Unidos (Spanish)
IRS Formulario 13615 (SP) Acuerdo Sobre Las Normas De Conducta Para Los Voluntarios - Programas De Vita/Tce (Spanish)
Formulario PS6D Autorizacion Para Revelar Informacion Confidencial Programas De Tratamiento Para La Salud Mental (Spanish)
Formulario SSA-437-BK-SP Formulario Para Querellas De Alegaciones De Discriminacion En Los Programas De La Administracion Del Seguro Social (Spanish)
IRS Formulario 13615 (PR) Acuerdo Voluntario Estandares De Conducta - Programa Vita/Tce (Puerto Rican Spanish)