Application for Board Approval of a Pharmacy Technician Training Program and / or Examination - Michigan

Application for Board Approval of a Pharmacy Technician Training Program and / or Examination - Michigan

ADVERTISEMENT

Download Application for Board Approval of a Pharmacy Technician Training Program and / or Examination - Michigan

4.4 of 5 (38 votes)
  • Application for Board Approval of a Pharmacy Technician Training Program and/or Examination - Michigan

    1

  • Application for Board Approval of a Pharmacy Technician Training Program and/or Examination - Michigan, Page 2

    2

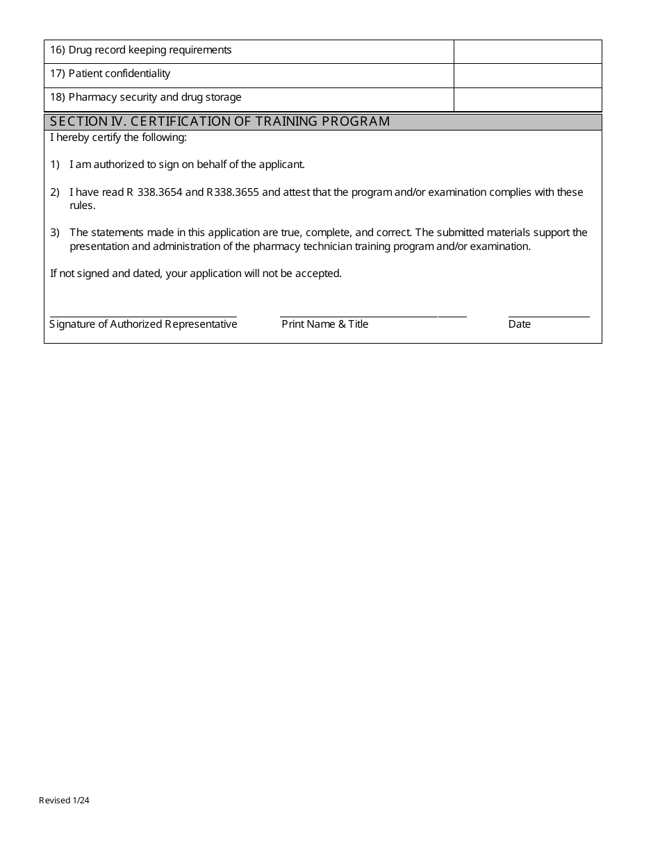
  • Application for Board Approval of a Pharmacy Technician Training Program and/or Examination - Michigan, Page 3

    3

  • Application for Board Approval of a Pharmacy Technician Training Program and / or Examination - Michigan, Page 1
  • Application for Board Approval of a Pharmacy Technician Training Program and / or Examination - Michigan, Page 2
  • Application for Board Approval of a Pharmacy Technician Training Program and / or Examination - Michigan, Page 3
Prev 1 2 3 Next
ADVERTISEMENT

Related Documents