Army
Business
Legal
Letters
Life
Real Estate
Tax
Wills
Blog
Upload
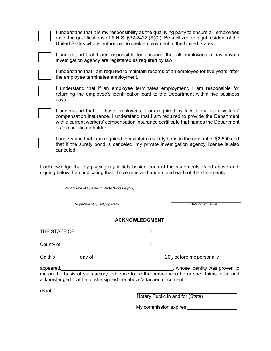
Private Investigation Agency Renewal Responsibilities - Arizona
Fill
PDF
Online
PDF
Word
Army
Business
Legal
Letters
Life
Real Estate
Tax
Wills
Blog
Upload
Home
Legal
United States Legal Forms
Arizona Legal Forms
Arizona Department of Public Safety
Private Investigation Agency Renewal Responsibilities - Arizona
Private Investigation Agency Renewal Responsibilities - Arizona
Preview
Fill
PDF
Online
PDF
Word
Fill PDF Online
Fill out online for free
without registration or credit card
ADVERTISEMENT
Download Private Investigation Agency Renewal Responsibilities - Arizona
4.8
of 5
(
25 votes
)
PDF
Word
Fill PDF Online
1
2
Prev
1
2
Next
ADVERTISEMENT
Linked Topics
Arizona Department of Public Safety
Arizona Legal Forms
Legal
United States Legal Forms
Preview
Fill
PDF
Online
PDF
Word