Form 735-265 Disabled Person Parking Family Placard Application - Oregon

Notification Icon This version of the form is not currently in use and is provided for reference only. Download this version of Form 735-265 for the current year.

Form 735-265 Disabled Person Parking Family Placard Application - Oregon

ADVERTISEMENT

Download Form 735-265 Disabled Person Parking Family Placard Application - Oregon

4.4 of 5 (26 votes)
  • Form 735-265 Disabled Person Parking Family Placard Application - Oregon

    1

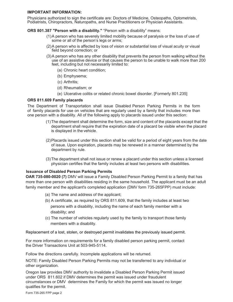
  • Form 735-265 Disabled Person Parking Family Placard Application - Oregon, Page 2

    2

  • Form 735-265 Disabled Person Parking Family Placard Application - Oregon, Page 1
  • Form 735-265 Disabled Person Parking Family Placard Application - Oregon, Page 2
Prev 1 2 Next
ADVERTISEMENT