Form APP-110 Respondent's Notice Designating Record on Appeal - Limited Civil Case - California

Form APP-110 Respondent's Notice Designating Record on Appeal - Limited Civil Case - California

ADVERTISEMENT

Download Form APP-110 Respondent's Notice Designating Record on Appeal - Limited Civil Case - California

4.3 of 5 (18 votes)
  • Form APP-110 Respondent's Notice Designating Record on Appeal - Limited Civil Case - California

    1

  • Form APP-110 Respondent's Notice Designating Record on Appeal - Limited Civil Case - California, Page 2

    2

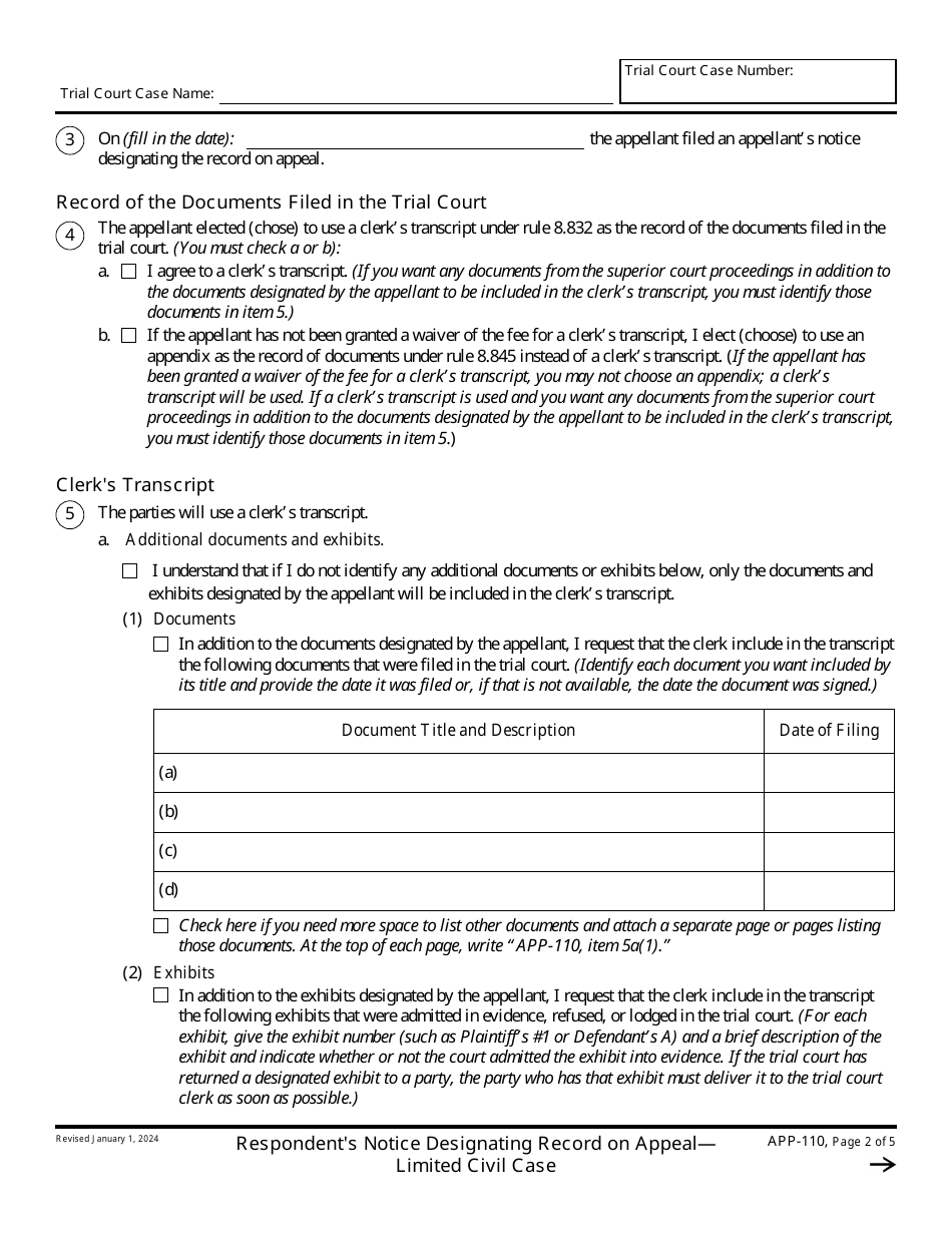
  • Form APP-110 Respondent's Notice Designating Record on Appeal - Limited Civil Case - California, Page 3

    3

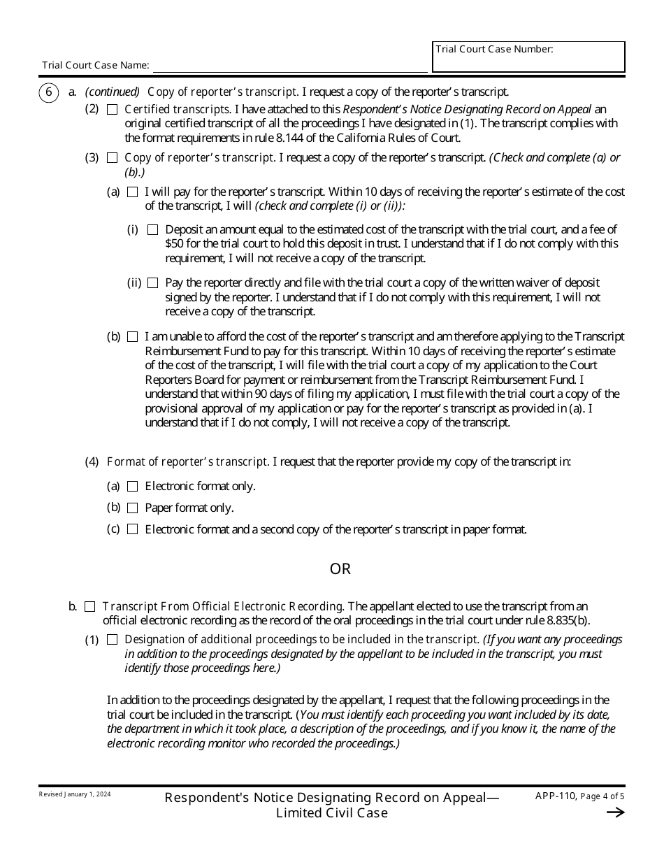
  • Form APP-110 Respondent's Notice Designating Record on Appeal - Limited Civil Case - California, Page 4

    4

  • Form APP-110 Respondent's Notice Designating Record on Appeal - Limited Civil Case - California, Page 5

    5

  • Form APP-110 Respondents Notice Designating Record on Appeal - Limited Civil Case - California, Page 1
  • Form APP-110 Respondents Notice Designating Record on Appeal - Limited Civil Case - California, Page 2
  • Form APP-110 Respondents Notice Designating Record on Appeal - Limited Civil Case - California, Page 3
  • Form APP-110 Respondents Notice Designating Record on Appeal - Limited Civil Case - California, Page 4
  • Form APP-110 Respondents Notice Designating Record on Appeal - Limited Civil Case - California, Page 5
Prev 1 2 3 4 5 Next
ADVERTISEMENT