Form P33B Fmla Caregiver Medical Certificate - Connecticut

Notification Icon This version of the form is not currently in use and is provided for reference only. Download this version of Form P33B for the current year.

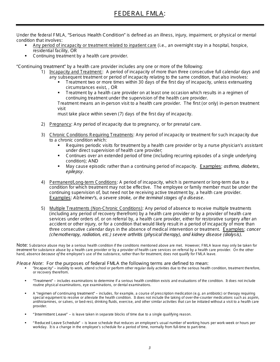
Form P33B Fmla Caregiver Medical Certificate - Connecticut

What Is Form P33B?

This is a legal form that was released by the Connecticut Department of Administrative Services - a government authority operating within Connecticut. As of today, no separate filing guidelines for the form are provided by the issuing department.

FAQ

Q: What is Form P33B?
A: Form P33B is the Connecticut FMLA Caregiver Medical Certificate.

Q: What is FMLA?
A: FMLA stands for Family and Medical Leave Act, a federal law that provides eligible employees with unpaid leave for certain family and medical reasons.

Q: Who should use Form P33B?
A: Form P33B should be used by Connecticut employees who need to take FMLA leave to care for a family member with a serious health condition.

Q: What does Form P33B require?
A: Form P33B requires detailed information about the employee, the family member's condition, and the need for care.

Q: Is Form P33B specific to Connecticut?
A: Yes, Form P33B is specific to the state of Connecticut and should not be used for FMLA leave in other states.

ADVERTISEMENT

Form Details:

  • Released on February 1, 2011;
  • The latest edition provided by the Connecticut Department of Administrative Services;
  • Easy to use and ready to print;
  • Quick to customize;
  • Compatible with most PDF-viewing applications;
  • Fill out the form in our online filing application.

Download a fillable version of Form P33B by clicking the link below or browse more documents and templates provided by the Connecticut Department of Administrative Services.

Download Form P33B Fmla Caregiver Medical Certificate - Connecticut

4.6 of 5 (13 votes)
  • Form P33B Fmla Caregiver Medical Certificate - Connecticut

    1

  • Form P33B Fmla Caregiver Medical Certificate - Connecticut, Page 2

    2

  • Form P33B Fmla Caregiver Medical Certificate - Connecticut, Page 3

    3

  • Form P33B Fmla Caregiver Medical Certificate - Connecticut, Page 4

    4

  • Form P33B Fmla Caregiver Medical Certificate - Connecticut, Page 1
  • Form P33B Fmla Caregiver Medical Certificate - Connecticut, Page 2
  • Form P33B Fmla Caregiver Medical Certificate - Connecticut, Page 3
  • Form P33B Fmla Caregiver Medical Certificate - Connecticut, Page 4
Prev 1 2 3 4 Next
ADVERTISEMENT

Related Documents