On-The-Job Training Plan Template - Ohio

On-The-Job Training Plan Template - Ohio

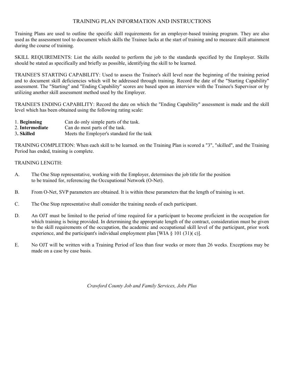
On-The-Job Training Plan Template is a legal document that was released by the Ohio Department of Job and Family Services - a government authority operating within Ohio.

FAQ

Q: What is an On-The-Job Training (OJT) plan?
A: An On-The-Job Training (OJT) plan is a document that outlines the training program for new employees.

Q: Why is an OJT plan important?
A: An OJT plan is important because it ensures that new employees receive the necessary training to perform their job duties effectively and efficiently.

Q: Who is responsible for creating an OJT plan?
A: The employer or supervisor is responsible for creating an OJT plan.

Q: What should be included in an OJT plan?
A: An OJT plan should include a description of the job tasks, the training methods to be used, the training schedule, and the evaluation process.

Q: Are there any specific OJT plan requirements in Ohio?
A: There may be specific OJT plan requirements in Ohio depending on the industry. It is recommended to check with the Ohio Department of Job and Family Services for any specific requirements.

Q: Can an OJT plan be customized for different jobs?
A: Yes, an OJT plan can be customized for different jobs to ensure that the training program meets the specific needs of each job.

Q: How long should an OJT plan last?
A: The duration of an OJT plan can vary depending on the complexity of the job and the training needs of the employee. It is generally recommended to provide ongoing training and support as needed.

Q: What are the benefits of implementing an OJT plan?
A: Implementing an OJT plan can help improve employee performance, reduce errors, increase productivity, and enhance overall job satisfaction.

Q: Can an OJT plan be revised or updated?
A: Yes, an OJT plan can be revised or updated as needed to reflect changes in job responsibilities or training requirements.

ADVERTISEMENT

Form Details:

  • The latest edition currently provided by the Ohio Department of Job and Family Services;
  • Ready to use and print;
  • Easy to customize;
  • Compatible with most PDF-viewing applications;
  • Fill out the form in our online filing application.

Download a printable version of the form by clicking the link below or browse more documents and templates provided by the Ohio Department of Job and Family Services.

Download On-The-Job Training Plan Template - Ohio

4.8 of 5 (22 votes)
  • On-The-Job Training Plan Template - Ohio

    1

  • On-The-Job Training Plan Template - Ohio, Page 2

    2

  • On-The-Job Training Plan Template - Ohio, Page 1
  • On-The-Job Training Plan Template - Ohio, Page 2
Prev 1 2 Next
ADVERTISEMENT