Oswestry Disability Index Questionnaire Form

Oswestry Disability Index Questionnaire Form

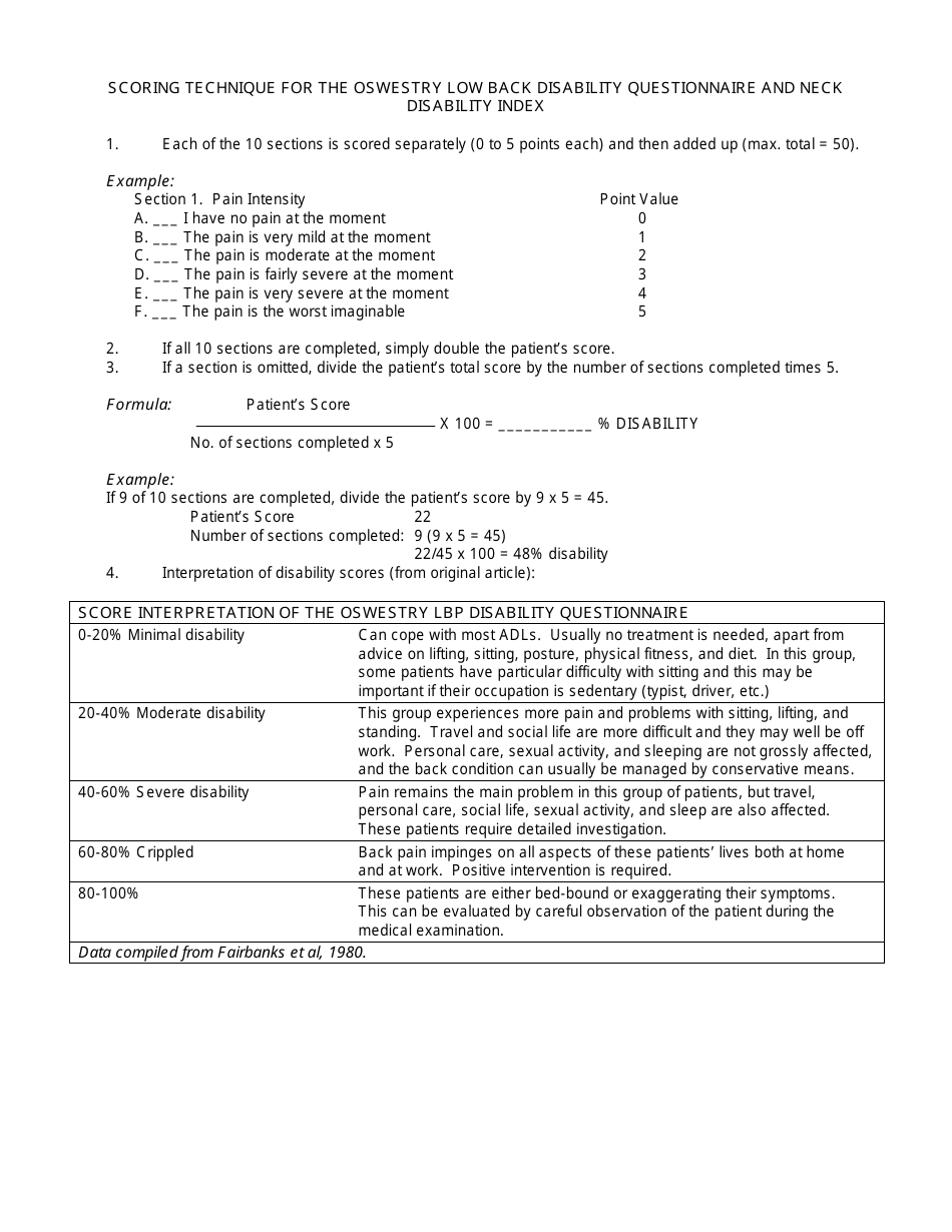
The Oswestry Disability Index Questionnaire Form is used to assess the level of disability or impairment experienced by individuals with lower back pain. It helps healthcare professionals evaluate a patient's functional limitations and the impact of their condition on daily activities.

The Oswestry Disability Index questionnaire form is typically filed by patients or individuals seeking to assess their level of disability related to back pain.

FAQ

Q: What is the Oswestry Disability Index questionnaire?
A: The Oswestry Disability Index questionnaire is a form used to assess the level of disability in individuals with low back pain.

Q: What does the Oswestry Disability Index assess?
A: The Oswestry Disability Index assesses the impact of low back pain on various activities of daily living.

Q: How is the Oswestry Disability Index questionnaire filled out?
A: The questionnaire is filled out by the individual, who rates their level of disability on a scale from 0 to 5 for each of the 10 sections.

Q: What are the sections covered in the Oswestry Disability Index questionnaire?
A: The sections covered in the Oswestry Disability Index questionnaire include pain intensity, personal care, lifting, walking, sitting, standing, sleeping, social life, and traveling.

Q: How is the Oswestry Disability Index score calculated?
A: The Oswestry Disability Index score is calculated by summing the scores for each section and converting it to a percentage.

Q: What does the Oswestry Disability Index score represent?
A: The Oswestry Disability Index score represents the level of disability, with higher scores indicating greater disability.

Q: Why is the Oswestry Disability Index questionnaire used?
A: The Oswestry Disability Index questionnaire is used to assess the effectiveness of treatments and monitor changes in disability over time for individuals with low back pain.

ADVERTISEMENT

Download Oswestry Disability Index Questionnaire Form

4.7 of 5 (13 votes)
  • Oswestry Disability Index Questionnaire Form

    1

  • Oswestry Disability Index Questionnaire Form, Page 2

    2

  • Oswestry Disability Index Questionnaire Form, Page 3

    3

  • Oswestry Disability Index Questionnaire Form, Page 4

    4

  • Oswestry Disability Index Questionnaire Form, Page 1
  • Oswestry Disability Index Questionnaire Form, Page 2
  • Oswestry Disability Index Questionnaire Form, Page 3
  • Oswestry Disability Index Questionnaire Form, Page 4
Prev 1 2 3 4 Next
ADVERTISEMENT