Employees Provident Fund Scheme Application - India

Employees Provident Fund Scheme Application - India

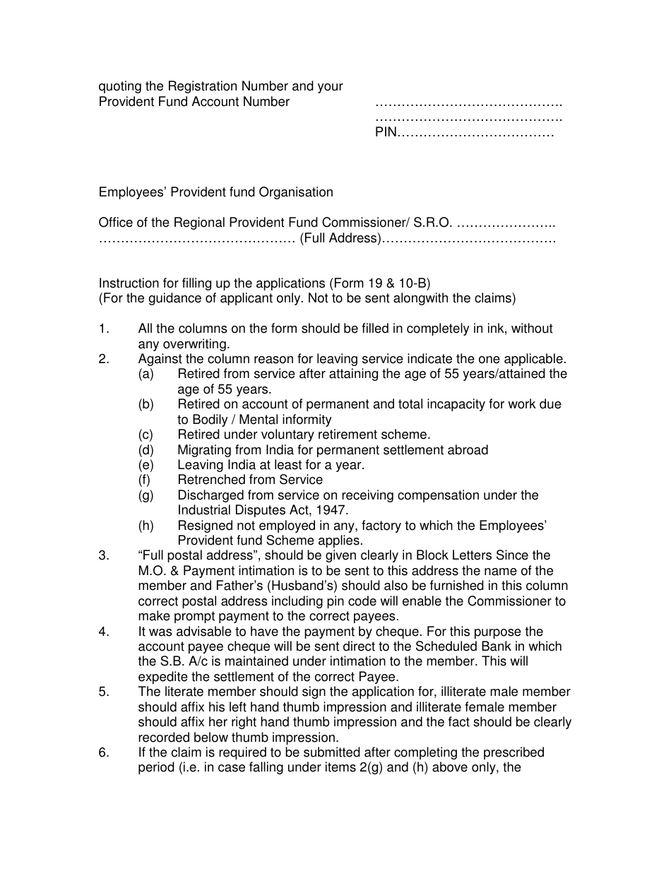
The Employees Provident Fund Scheme Application in India is a form used to apply for the Employee Provident Fund (EPF) scheme. The EPF scheme is a retirement benefit plan for employees in India, which includes contributions from both the employee and employer.

In India, the Employees Provident Fund Scheme application is typically filed by the employer on behalf of the employees.

FAQ

Q: What is the Employees Provident Fund Scheme?
A: The Employees Provident Fund Scheme is a social security program in India that helps employees save money for their retirement.

Q: How do I apply for the Employees Provident Fund Scheme?
A: To apply for the Employees Provident Fund Scheme, you need to fill out the application form provided by your employer and submit it along with the required documents.

Q: What documents do I need to submit with my Employees Provident Fund Scheme application?
A: The specific documents required may vary, but generally you will need to submit your identity proof, address proof, bank account details, and a photograph.

Q: Can I withdraw money from the Employees Provident Fund Scheme before retirement?
A: Yes, you can withdraw money from your Employees Provident Fund account for certain purposes such as medical emergencies, education, or buying a house. However, there are specific rules and conditions for such withdrawals.

Q: How is the Employees Provident Fund Scheme beneficial to employees?
A: The Employees Provident Fund Scheme provides financial security to employees after retirement and serves as a source of income during periods of unemployment or other emergencies.

Q: Are employers also required to contribute to the Employees Provident Fund Scheme?
A: Yes, employers are required by law to contribute a certain percentage of their employees' salaries to the Employees Provident Fund Scheme.

Q: How is the Employees Provident Fund Scheme managed?
A: The Employees Provident Fund Scheme is managed by the Employees' Provident Fund Organization (EPFO), which is a statutory body under the Ministry of Labour and Employment, Government of India.

ADVERTISEMENT

Download Employees Provident Fund Scheme Application - India

4.5 of 5 (10 votes)
  • Employees Provident Fund Scheme Application - India

    1

  • Employees Provident Fund Scheme Application - India, Page 2

    2

  • Employees Provident Fund Scheme Application - India, Page 3

    3

  • Employees Provident Fund Scheme Application - India, Page 4

    4

  • Employees Provident Fund Scheme Application - India, Page 5

    5

  • Employees Provident Fund Scheme Application in India
  • Employees Provident Fund Scheme Application - India, Page 2
  • Employees Provident Fund Scheme Application - India, Page 3
  • Employees Provident Fund Scheme Application - India, Page 4
  • Employees Provident Fund Scheme Application - India, Page 5
Prev 1 2 3 4 5 Next
ADVERTISEMENT

Related Documents