IRS Form 14417 Reimbursable Agreement - Non-federal Entities (State and Local Governments, Foreign Governments, Commercial Organizations, and Private Businesses)

Notification Icon This version of the form is not currently in use and is provided for reference only. Download this version of IRS Form 14417 for the current year.

IRS Form 14417 Reimbursable Agreement - Non-federal Entities (State and Local Governments, Foreign Governments, Commercial Organizations, and Private Businesses)

What Is IRS Form 14417?

This is a tax form that was released by the Internal Revenue Service (IRS) - a subdivision of the U.S. Department of the Treasury on February 1, 2013. As of today, no separate filing guidelines for the form are provided by the IRS.

Form Details:

  • A 6-page form available for download in PDF;
  • Actual and valid for filing 2023 taxes;
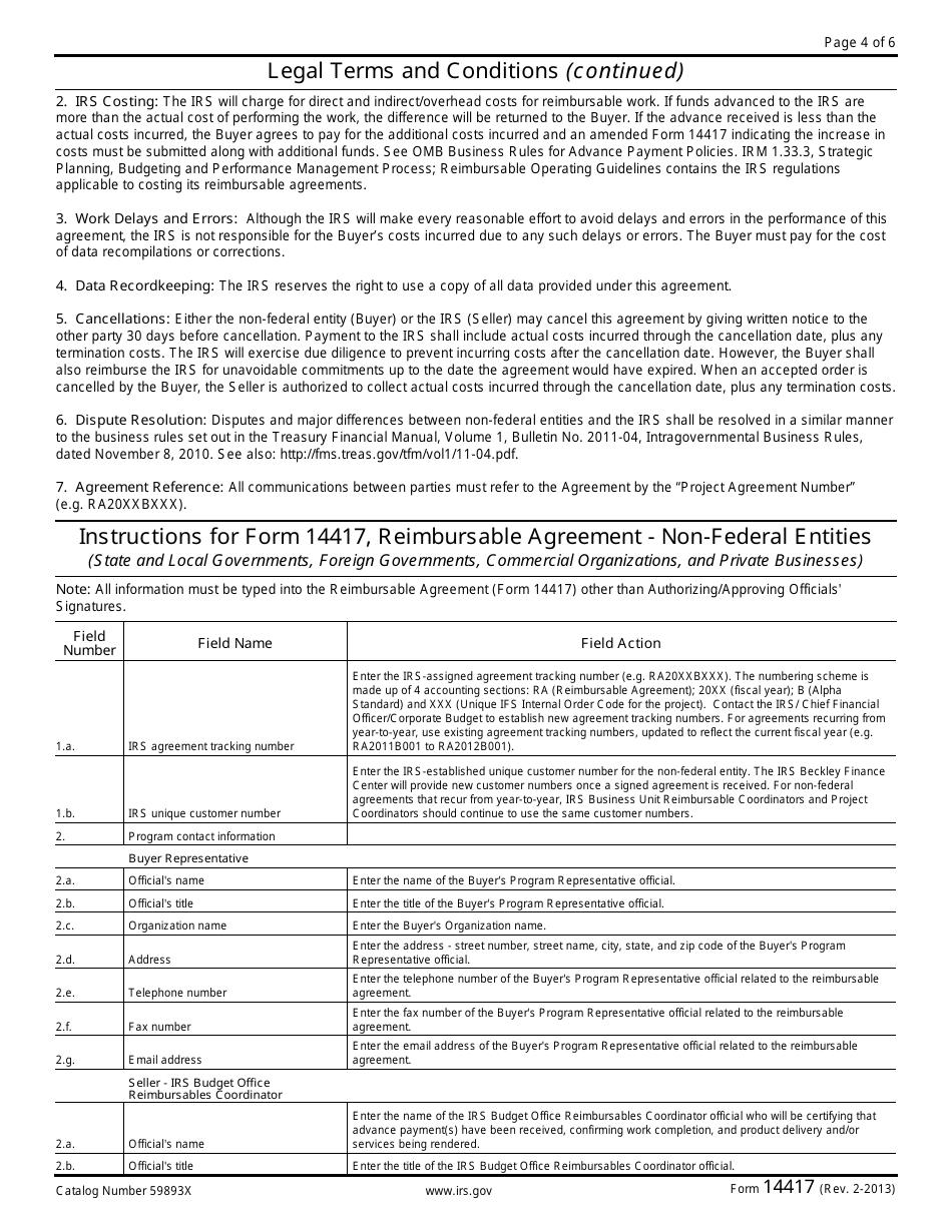
  • Additional instructions and information can be found on page 4 of the document;
  • Editable, printable, and free;
  • Fill out the form in our online filing application.

Download a fillable version of IRS Form 14417 through the link below or browse more documents in our library of IRS Forms.

ADVERTISEMENT

Download IRS Form 14417 Reimbursable Agreement - Non-federal Entities (State and Local Governments, Foreign Governments, Commercial Organizations, and Private Businesses)

4.5 of 5 (88 votes)
  • IRS Form 14417 Reimbursable Agreement - Non-federal Entities (State and Local Governments, Foreign Governments, Commercial Organizations, and Private Businesses)

    1

  • IRS Form 14417 Reimbursable Agreement - Non-federal Entities (State and Local Governments, Foreign Governments, Commercial Organizations, and Private Businesses), Page 2

    2

  • IRS Form 14417 Reimbursable Agreement - Non-federal Entities (State and Local Governments, Foreign Governments, Commercial Organizations, and Private Businesses), Page 3

    3

  • IRS Form 14417 Reimbursable Agreement - Non-federal Entities (State and Local Governments, Foreign Governments, Commercial Organizations, and Private Businesses), Page 4

    4

  • IRS Form 14417 Reimbursable Agreement - Non-federal Entities (State and Local Governments, Foreign Governments, Commercial Organizations, and Private Businesses), Page 5

    5

  • IRS Form 14417 Reimbursable Agreement - Non-federal Entities (State and Local Governments, Foreign Governments, Commercial Organizations, and Private Businesses), Page 6

    6

  • IRS Form 14417 Reimbursable Agreement - Non-federal Entities (State and Local Governments, Foreign Governments, Commercial Organizations, and Private Businesses), Page 1
  • IRS Form 14417 Reimbursable Agreement - Non-federal Entities (State and Local Governments, Foreign Governments, Commercial Organizations, and Private Businesses), Page 2
  • IRS Form 14417 Reimbursable Agreement - Non-federal Entities (State and Local Governments, Foreign Governments, Commercial Organizations, and Private Businesses), Page 3
  • IRS Form 14417 Reimbursable Agreement - Non-federal Entities (State and Local Governments, Foreign Governments, Commercial Organizations, and Private Businesses), Page 4
  • IRS Form 14417 Reimbursable Agreement - Non-federal Entities (State and Local Governments, Foreign Governments, Commercial Organizations, and Private Businesses), Page 5
  • IRS Form 14417 Reimbursable Agreement - Non-federal Entities (State and Local Governments, Foreign Governments, Commercial Organizations, and Private Businesses), Page 6
Prev 1 2 3 4 5 6 Next
ADVERTISEMENT