Appendix K Sick Leave Donor Program Authorization Form - MONTGOMERY COUNTY, Maryland

Appendix K Sick Leave Donor Program Authorization Form - MONTGOMERY COUNTY, Maryland

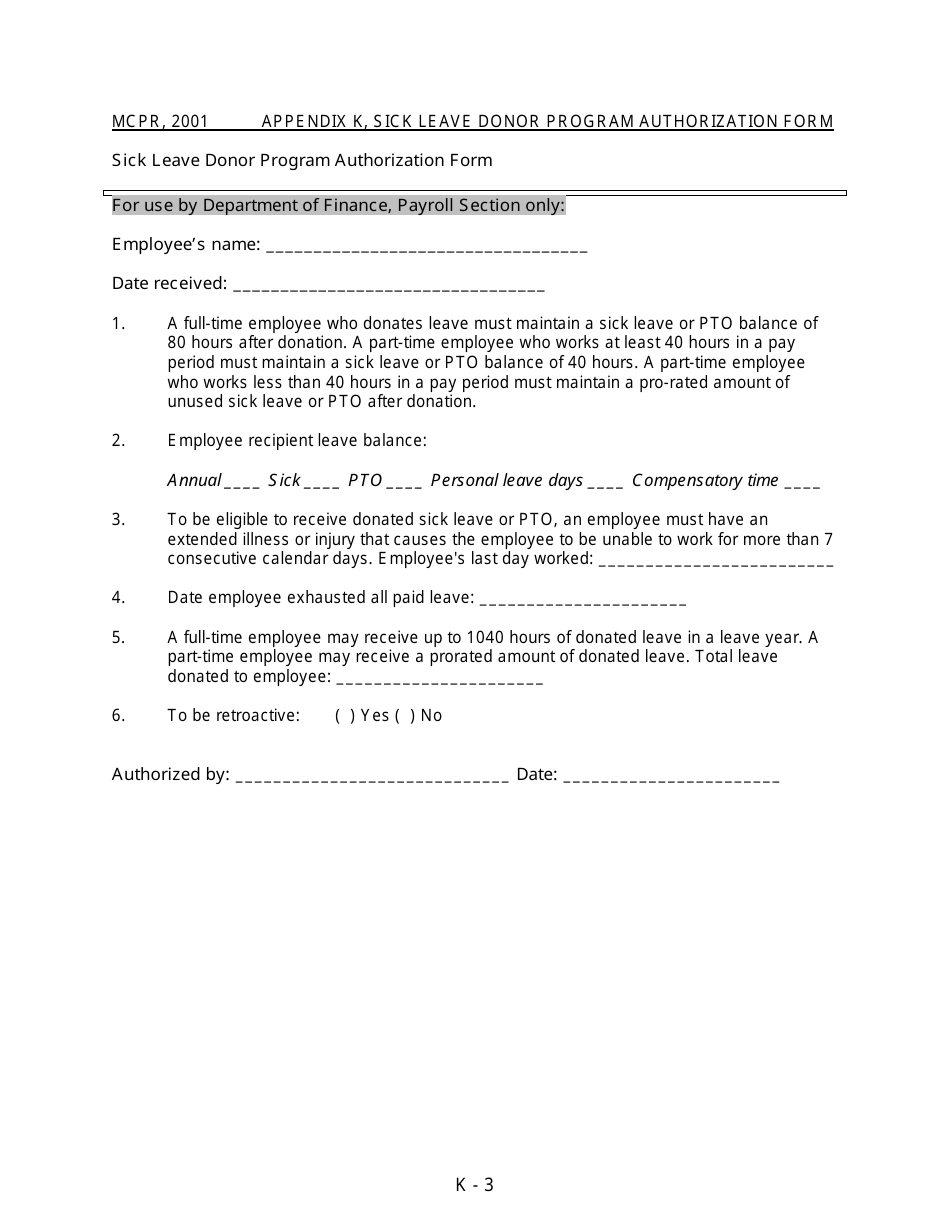
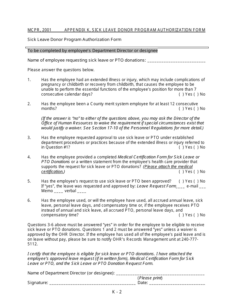
The Appendix K Sick Leave Donor Program Authorization Form in Montgomery County, Maryland is used to authorize the donation of sick leave between employees within the county.

The Appendix K Sick Leave Donor Program Authorization Form in Montgomery County, Maryland is typically filed by the employee who wishes to donate sick leave.

FAQ

Q: What is Appendix K?
A: Appendix K refers to the Sick Leave Donor Program Authorization Form in Montgomery County, Maryland.

Q: What is the Sick Leave Donor Program?
A: The Sick Leave Donor Program is a program that allows employees to donate their unused sick leave to fellow employees in need.

Q: What is the purpose of the Sick Leave Donor Program Authorization Form?
A: The purpose of the form is to authorize the donation of sick leave to other employees.

Q: Who can participate in the Sick Leave Donor Program?
A: County employees who have accrued sick leave can participate in the program.

ADVERTISEMENT

Download Appendix K Sick Leave Donor Program Authorization Form - MONTGOMERY COUNTY, Maryland

4.8 of 5 (33 votes)
  • Appendix K Sick Leave Donor Program Authorization Form - MONTGOMERY COUNTY, Maryland

    1

  • Appendix K Sick Leave Donor Program Authorization Form - MONTGOMERY COUNTY, Maryland, Page 2

    2

  • Appendix K Sick Leave Donor Program Authorization Form - MONTGOMERY COUNTY, Maryland, Page 3

    3

  • Appendix K Sick Leave Donor Program Authorization Form - MONTGOMERY COUNTY, Maryland, Page 1
  • Appendix K Sick Leave Donor Program Authorization Form - MONTGOMERY COUNTY, Maryland, Page 2
  • Appendix K Sick Leave Donor Program Authorization Form - MONTGOMERY COUNTY, Maryland, Page 3
Prev 1 2 3 Next
ADVERTISEMENT

Linked Topics