Form H114.600 Application for Prescription Hearing Aid Apprentice or Temporary Fitter Registration - Pennsylvania

Form H114.600 Application for Prescription Hearing Aid Apprentice or Temporary Fitter Registration - Pennsylvania

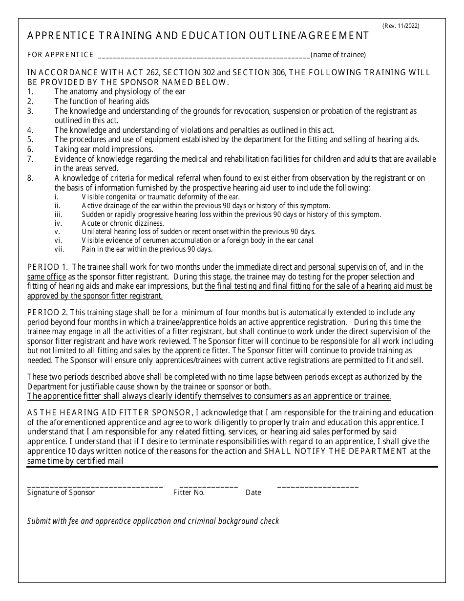
What Is Form H114.600?

This is a legal form that was released by the Pennsylvania Department of Health - a government authority operating within Pennsylvania. As of today, no separate filing guidelines for the form are provided by the issuing department.

Form Details:

  • Released on November 1, 2022;
  • The latest edition provided by the Pennsylvania Department of Health;
  • Easy to use and ready to print;
  • Quick to customize;
  • Compatible with most PDF-viewing applications;
  • Fill out the form in our online filing application.

Download a printable version of Form H114.600 by clicking the link below or browse more documents and templates provided by the Pennsylvania Department of Health.

ADVERTISEMENT

Other Revisions

Download Form H114.600 Application for Prescription Hearing Aid Apprentice or Temporary Fitter Registration - Pennsylvania

4.3 of 5 (55 votes)
  • Form H114.600 Application for Prescription Hearing Aid Apprentice or Temporary Fitter Registration - Pennsylvania

    1

  • Form H114.600 Application for Prescription Hearing Aid Apprentice or Temporary Fitter Registration - Pennsylvania, Page 2

    2

  • Form H114.600 Application for Prescription Hearing Aid Apprentice or Temporary Fitter Registration - Pennsylvania, Page 3

    3

  • Form H114.600 Application for Prescription Hearing Aid Apprentice or Temporary Fitter Registration - Pennsylvania, Page 1
  • Form H114.600 Application for Prescription Hearing Aid Apprentice or Temporary Fitter Registration - Pennsylvania, Page 2
  • Form H114.600 Application for Prescription Hearing Aid Apprentice or Temporary Fitter Registration - Pennsylvania, Page 3
Prev 1 2 3 Next
ADVERTISEMENT