Uniform Application for Individual Adjuster or Apprentice License / Registration

Uniform Application for Individual Adjuster or Apprentice License / Registration

Uniform Application for Individual Adjuster or Apprentice License/Registration is a 5-page legal document that was released by the National Association of Insurance Commissioners on January 1, 2014 and used nation-wide.

FAQ

Q: What is the Uniform Application for Individual Adjuster or Apprentice License/Registration?
A: The Uniform Application for Individual Adjuster or Apprentice License/Registration is a form that individuals must complete when applying for an adjuster or apprentice license/registration.

Q: What is an adjuster or apprentice license/registration?
A: An adjuster or apprentice license/registration is a permit that authorizes individuals to act as insurance adjusters or apprentices in the field of insurance claims.

Q: Who needs to complete the Uniform Application for Individual Adjuster or Apprentice License/Registration?
A: Any individual who wishes to become an adjuster or apprentice in the insurance industry must complete the Uniform Application.

Q: What information is required on the application?
A: The application typically requires personal information, education and employment history, disclosure of criminal convictions, and any other relevant information.

Q: Are there any fees associated with the application?
A: Yes, there are usually fees associated with the application, which vary depending on the state and the type of license/registration being applied for.

Q: How long does it take to process the application?
A: The processing time for the application can vary depending on the state and the volume of applications being received, but it typically takes several weeks to a few months.

Q: What happens after the application is approved?
A: After the application is approved, the applicant will receive their adjuster or apprentice license/registration, allowing them to legally work as an insurance adjuster or apprentice.

Q: Can the application be denied?
A: Yes, the application can be denied if the applicant fails to meet the requirements set by the state insurance department, such as having a criminal record or providing false information.

ADVERTISEMENT

Form Details:

  • The latest edition currently provided by the National Association of Insurance Commissioners;
  • Ready to use and print;
  • Easy to customize;
  • Compatible with most PDF-viewing applications;
  • Fill out the form in our online filing application.

Download a printable version of the form by clicking the link below or browse more legal forms and templates provided by the issuing department.

Download Uniform Application for Individual Adjuster or Apprentice License / Registration

4.3 of 5 (49 votes)
  • Uniform Application for Individual Adjuster or Apprentice License/Registration

    1

  • Uniform Application for Individual Adjuster or Apprentice License/Registration, Page 2

    2

  • Uniform Application for Individual Adjuster or Apprentice License/Registration, Page 3

    3

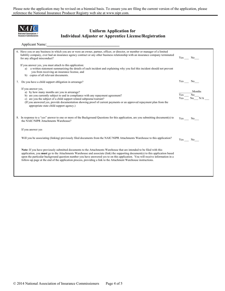
  • Uniform Application for Individual Adjuster or Apprentice License/Registration, Page 4

    4

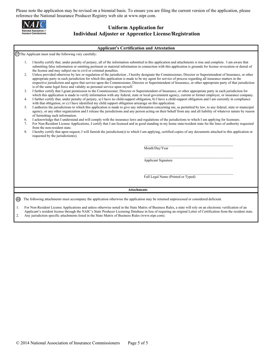
  • Uniform Application for Individual Adjuster or Apprentice License/Registration, Page 5

    5

  • Uniform Application for Individual Adjuster or Apprentice License / Registration, Page 1
  • Uniform Application for Individual Adjuster or Apprentice License / Registration, Page 2
  • Uniform Application for Individual Adjuster or Apprentice License / Registration, Page 3
  • Uniform Application for Individual Adjuster or Apprentice License / Registration, Page 4
  • Uniform Application for Individual Adjuster or Apprentice License / Registration, Page 5
Prev 1 2 3 4 5 Next
ADVERTISEMENT

Related Documents