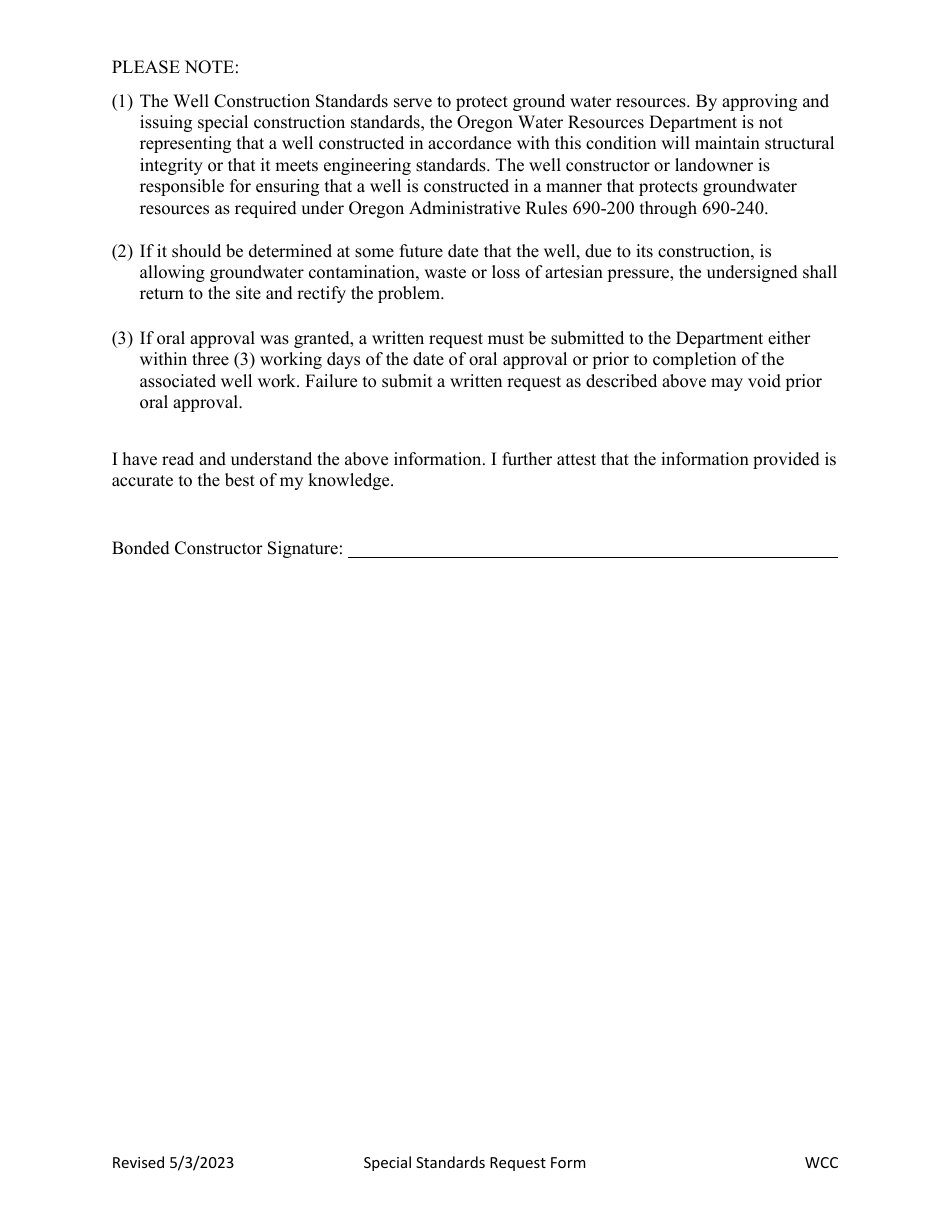
Special Standards Request Form - Oregon

Special Standards Request Form - Oregon

Special Standards Request Form is a legal document that was released by the Oregon Water Resources Department - a government authority operating within Oregon.

Form Details:

  • Released on May 3, 2023;
  • The latest edition currently provided by the Oregon Water Resources Department;
  • Ready to use and print;
  • Easy to customize;
  • Compatible with most PDF-viewing applications;
  • Fill out the form in our online filing application.

Download a fillable version of the form by clicking the link below or browse more documents and templates provided by the Oregon Water Resources Department.

ADVERTISEMENT

Other Revision

Download Special Standards Request Form - Oregon

4.5 of 5 (20 votes)
  • Special Standards Request Form - Oregon

    1

  • Special Standards Request Form - Oregon, Page 2

    2

  • Special Standards Request Form - Oregon, Page 3

    3

  • Special Standards Request Form - Oregon, Page 1
  • Special Standards Request Form - Oregon, Page 2
  • Special Standards Request Form - Oregon, Page 3
Prev 1 2 3 Next
ADVERTISEMENT