Form SS354 Notice of Change of Registered Office and / or Change of Registered Agent - Louisiana

Form SS354 Notice of Change of Registered Office and / or Change of Registered Agent - Louisiana

ADVERTISEMENT

Other Revision

Download Form SS354 Notice of Change of Registered Office and / or Change of Registered Agent - Louisiana

4.4 of 5 (74 votes)
  • Form SS354 Notice of Change of Registered Office and/or Change of Registered Agent - Louisiana

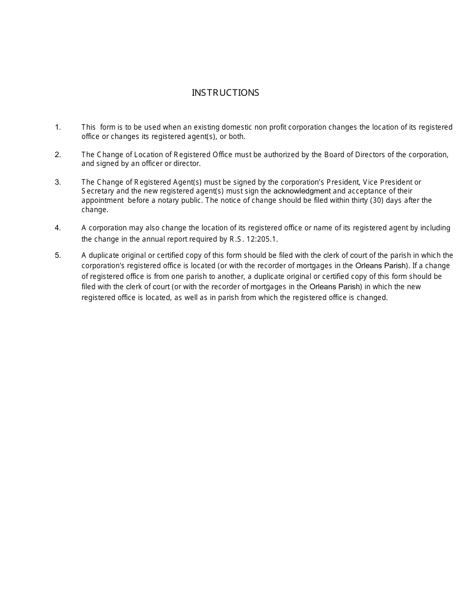
    1

  • Form SS354 Notice of Change of Registered Office and/or Change of Registered Agent - Louisiana, Page 2

    2

  • Form SS354 Notice of Change of Registered Office and/or Change of Registered Agent - Louisiana, Page 3

    3

  • Form SS354 Notice of Change of Registered Office and / or Change of Registered Agent - Louisiana, Page 1
  • Form SS354 Notice of Change of Registered Office and / or Change of Registered Agent - Louisiana, Page 2
  • Form SS354 Notice of Change of Registered Office and / or Change of Registered Agent - Louisiana, Page 3
Prev 1 2 3 Next
ADVERTISEMENT

Related Documents