Form SS354 Notice of Change of Registered Office and / or Change of Registered Agent - Louisiana

Notification Icon This version of the form is not currently in use and is provided for reference only. Download this version of Form SS354 for the current year.

Form SS354 Notice of Change of Registered Office and / or Change of Registered Agent - Louisiana

What Is Form SS354?

This is a legal form that was released by the Louisiana Secretary of State - a government authority operating within Louisiana. As of today, no separate filing guidelines for the form are provided by the issuing department.

FAQ

Q: What is Form SS354?
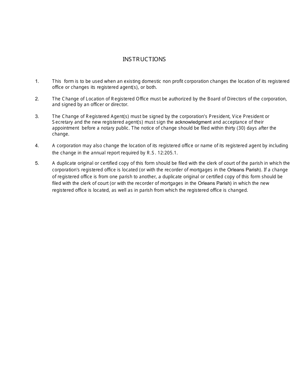
A: Form SS354 is the Notice of Change of Registered Office and/or Change of Registered Agent form in Louisiana.

Q: What is the purpose of Form SS354?
A: The purpose of Form SS354 is to notify the Louisiana Secretary of State about any changes in the registered office or registered agent of a company.

Q: Who needs to file Form SS354?
A: Any company registered with the Louisiana Secretary of State that has made changes to its registered office or registered agent needs to file Form SS354.

Q: What information is required on Form SS354?
A: Form SS354 requires information such as the company name, current registered office address, new registered office address, current registered agent's name and address, and new registered agent's name and address.

ADVERTISEMENT

Form Details:

  • Released on May 1, 2018;
  • The latest edition provided by the Louisiana Secretary of State;
  • Easy to use and ready to print;
  • Quick to customize;
  • Compatible with most PDF-viewing applications;
  • Fill out the form in our online filing application.

Download a printable version of Form SS354 by clicking the link below or browse more documents and templates provided by the Louisiana Secretary of State.

Download Form SS354 Notice of Change of Registered Office and / or Change of Registered Agent - Louisiana

4.3 of 5 (59 votes)
  • Form SS354 Notice of Change of Registered Office and/or Change of Registered Agent - Louisiana

    1

  • Form SS354 Notice of Change of Registered Office and/or Change of Registered Agent - Louisiana, Page 2

    2

  • Form SS354 Notice of Change of Registered Office and/or Change of Registered Agent - Louisiana, Page 3

    3

  • Form SS354 Notice of Change of Registered Office and / or Change of Registered Agent - Louisiana, Page 1
  • Form SS354 Notice of Change of Registered Office and / or Change of Registered Agent - Louisiana, Page 2
  • Form SS354 Notice of Change of Registered Office and / or Change of Registered Agent - Louisiana, Page 3
Prev 1 2 3 Next
ADVERTISEMENT

Related Documents