Army
Business
Legal
Letters
Life
Real Estate
Tax
Wills
Blog
Upload
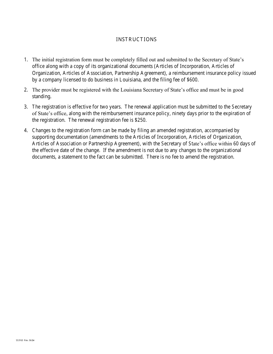
Form SS3163 Motor Vehicle Service Contract Provider Application - Louisiana
Fill
PDF
Online
PDF
Word
Army
Business
Legal
Letters
Life
Real Estate
Tax
Wills
Blog
Upload
Home
Legal
United States Legal Forms
Louisiana Legal Forms
Louisiana Secretary of State
Form SS3163 Motor Vehicle Service Contract Provider Application - Louisiana
Form SS3163 Motor Vehicle Service Contract Provider Application - Louisiana
Preview
Fill
PDF
Online
PDF
Word
Fill PDF Online
Fill out online for free
without registration or credit card
ADVERTISEMENT
Other Revision
2020
2024
Download Form SS3163 Motor Vehicle Service Contract Provider Application - Louisiana
4.7
of 5
(
43 votes
)
PDF
Word
Fill PDF Online
1
2
3
4
5
Prev
1
2
3
4
5
Next
ADVERTISEMENT
Linked Topics
Louisiana Secretary of State
Louisiana Legal Forms
Legal
United States Legal Forms
Preview
Fill
PDF
Online
PDF
Word
Related Documents
Form SF-91 Motor Vehicle Accident (Crash) Report
GSA Form 1458 Motor Vehicle Maintenance, Repair, and Service Purchase Order
GSA Form 3607 Motor Vehicle Operator's License and Driving Record
Form DPSMV1637 Application for a Salvage-Reconstructed Motor Vehicle - Louisiana
Form DPSLP8034 Motor Vehicle Accident Report - Louisiana
AE Form 190-1AA Application for Motor Vehicle Registration or Renewal and Allied Transactions
FAA Form 4670-3 Motor Vehicle Key Sign-Out Log
Form SS3143 Home Service Contract Provider Application - Louisiana
USAREC Form 700-5.3 Motor Vehicle Usage Record
Form DS-1664 Overseas Motor Vehicle Mishap Report
DD Form 3030 Corporate Services Provider Application for TRICARE Provider Status
Form R-1393 Resale Certificate Application for Used Vehicle Dealer Purchases of Parts and Services - Louisiana
DA Form 5219 Child Development Services (Cds) Family Child Care (FCC) Provider Application
DA Form 3665 Annual Commercial Design Motor Vehicle Requirements Review
Form HS-7 Declaration of Importation of Motor Vehicles and Motor Vehicle Equipment Subject to Federal Motor Vehicle Safety, Bumper and Theft Prevention Standards
EPA Form 3520-1 Declaration Form - Importation of Motor Vehicles and Motor Vehicle Engines Subject to Federal Air Pollution Standards