Form SS3163 Motor Vehicle Service Contract Provider Application - Louisiana

Notification Icon This version of the form is not currently in use and is provided for reference only. Download this version of Form SS3163 for the current year.

Form SS3163 Motor Vehicle Service Contract Provider Application - Louisiana

What Is Form SS3163?

This is a legal form that was released by the Louisiana Secretary of State - a government authority operating within Louisiana. As of today, no separate filing guidelines for the form are provided by the issuing department.

FAQ

Q: What is Form SS3163?
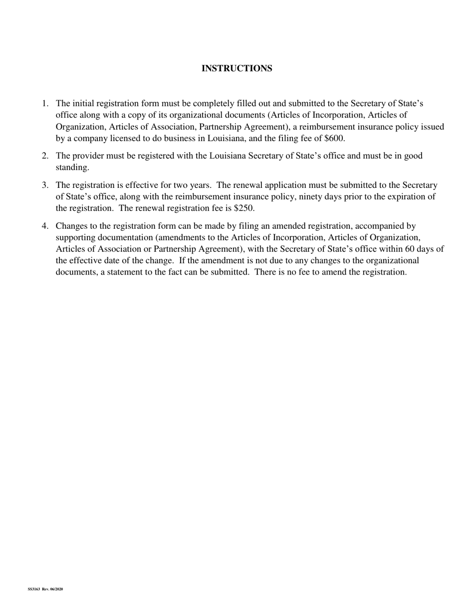
A: Form SS3163 is the Motor Vehicle ServiceContract Provider Application for the state of Louisiana.

Q: Who needs to fill out Form SS3163?
A: Motor Vehicle Service Contract Providers in Louisiana need to fill out Form SS3163.

Q: What is a Motor Vehicle Service Contract Provider?
A: A Motor Vehicle Service Contract Provider is a company that offers extended warranties or service contracts for motor vehicles.

Q: What is the purpose of Form SS3163?
A: The purpose of Form SS3163 is to apply for authorization to operate as a Motor Vehicle Service Contract Provider in Louisiana.

ADVERTISEMENT

Form Details:

  • Released on June 1, 2020;
  • The latest edition provided by the Louisiana Secretary of State;
  • Easy to use and ready to print;
  • Quick to customize;
  • Compatible with most PDF-viewing applications;
  • Fill out the form in our online filing application.

Download a printable version of Form SS3163 by clicking the link below or browse more documents and templates provided by the Louisiana Secretary of State.

Download Form SS3163 Motor Vehicle Service Contract Provider Application - Louisiana

4.8 of 5 (11 votes)
  • Form SS3163 Motor Vehicle Service Contract Provider Application - Louisiana

    1

  • Form SS3163 Motor Vehicle Service Contract Provider Application - Louisiana, Page 2

    2

  • Form SS3163 Motor Vehicle Service Contract Provider Application - Louisiana, Page 3

    3

  • Form SS3163 Motor Vehicle Service Contract Provider Application - Louisiana, Page 4

    4

  • Form SS3163 Motor Vehicle Service Contract Provider Application - Louisiana, Page 1
  • Form SS3163 Motor Vehicle Service Contract Provider Application - Louisiana, Page 2
  • Form SS3163 Motor Vehicle Service Contract Provider Application - Louisiana, Page 3
  • Form SS3163 Motor Vehicle Service Contract Provider Application - Louisiana, Page 4
Prev 1 2 3 4 Next
ADVERTISEMENT