Form 3B Request for Viatical Settlement Broker License - Delaware

Form 3B Request for Viatical Settlement Broker License - Delaware

What Is Form 3B?

This is a legal form that was released by the Delaware Department of Insurance - a government authority operating within Delaware. As of today, no separate filing guidelines for the form are provided by the issuing department.

Form Details:

  • Released on April 1, 2019;
  • The latest edition provided by the Delaware Department of Insurance;
  • Easy to use and ready to print;
  • Quick to customize;
  • Compatible with most PDF-viewing applications;
  • Fill out the form in our online filing application.

Download a fillable version of Form 3B by clicking the link below or browse more documents and templates provided by the Delaware Department of Insurance.

ADVERTISEMENT

Other Revision

Download Form 3B Request for Viatical Settlement Broker License - Delaware

4.5 of 5 (51 votes)
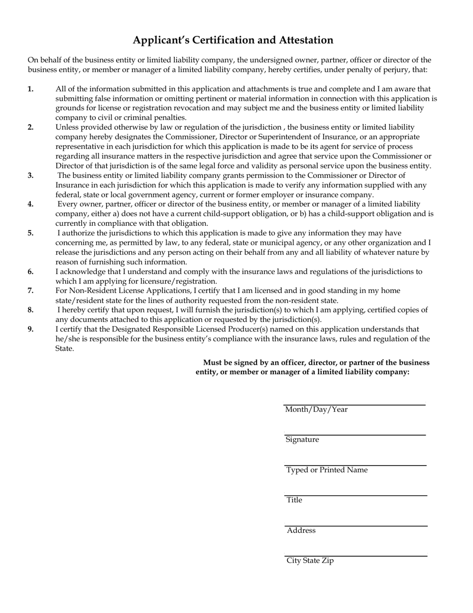
  • Form 3B Request for Viatical Settlement Broker License - Delaware

    1

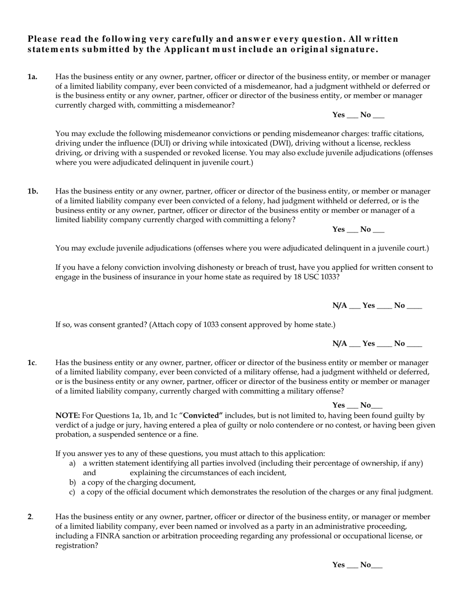
  • Form 3B Request for Viatical Settlement Broker License - Delaware, Page 2

    2

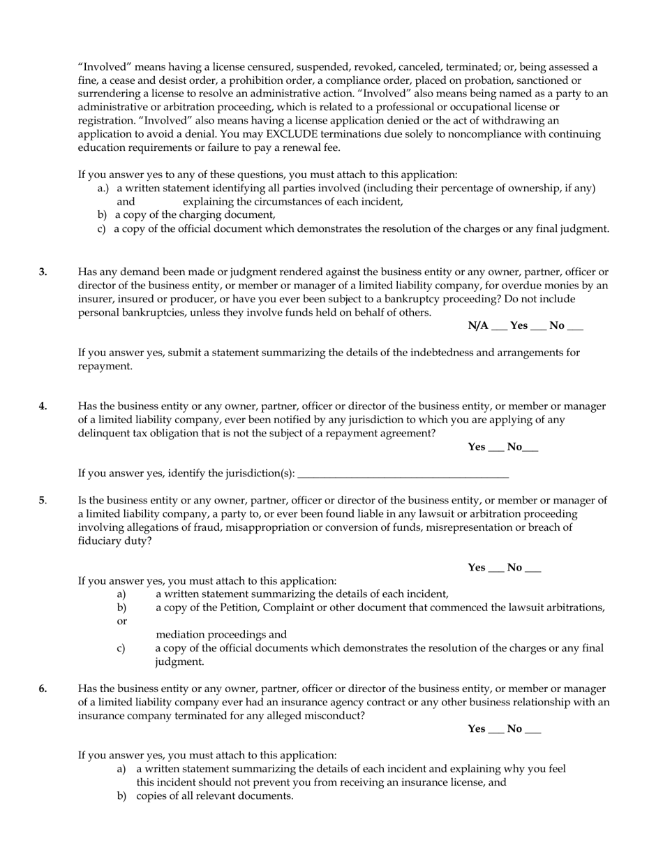
  • Form 3B Request for Viatical Settlement Broker License - Delaware, Page 3

    3

  • Form 3B Request for Viatical Settlement Broker License - Delaware, Page 4

    4

  • Form 3B Request for Viatical Settlement Broker License - Delaware, Page 5

    5

  • Form 3B Request for Viatical Settlement Broker License - Delaware, Page 6

    6

  • Form 3B Request for Viatical Settlement Broker License - Delaware, Page 1
  • Form 3B Request for Viatical Settlement Broker License - Delaware, Page 2
  • Form 3B Request for Viatical Settlement Broker License - Delaware, Page 3
  • Form 3B Request for Viatical Settlement Broker License - Delaware, Page 4
  • Form 3B Request for Viatical Settlement Broker License - Delaware, Page 5
  • Form 3B Request for Viatical Settlement Broker License - Delaware, Page 6
Prev 1 2 3 4 5 6 Next
ADVERTISEMENT