Form 3B Request for Viatical Settlement Provider License - Delaware

Notification Icon This version of the form is not currently in use and is provided for reference only. Download this version of Form 3B for the current year.

Form 3B Request for Viatical Settlement Provider License - Delaware

What Is Form 3B?

This is a legal form that was released by the Delaware Department of Insurance - a government authority operating within Delaware. As of today, no separate filing guidelines for the form are provided by the issuing department.

FAQ

Q: What is a Form 3B?
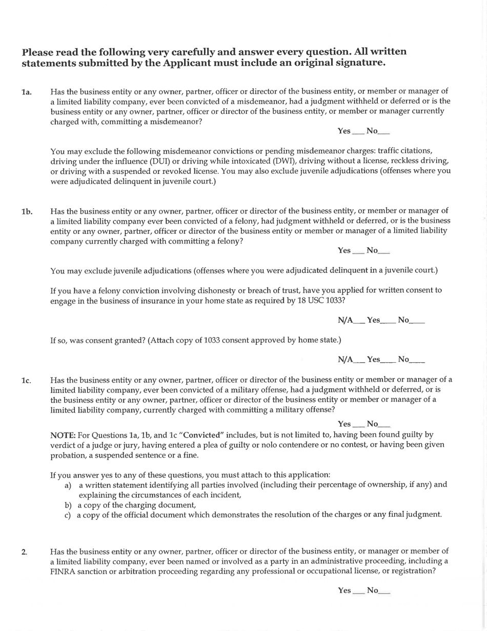
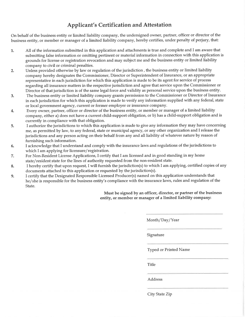
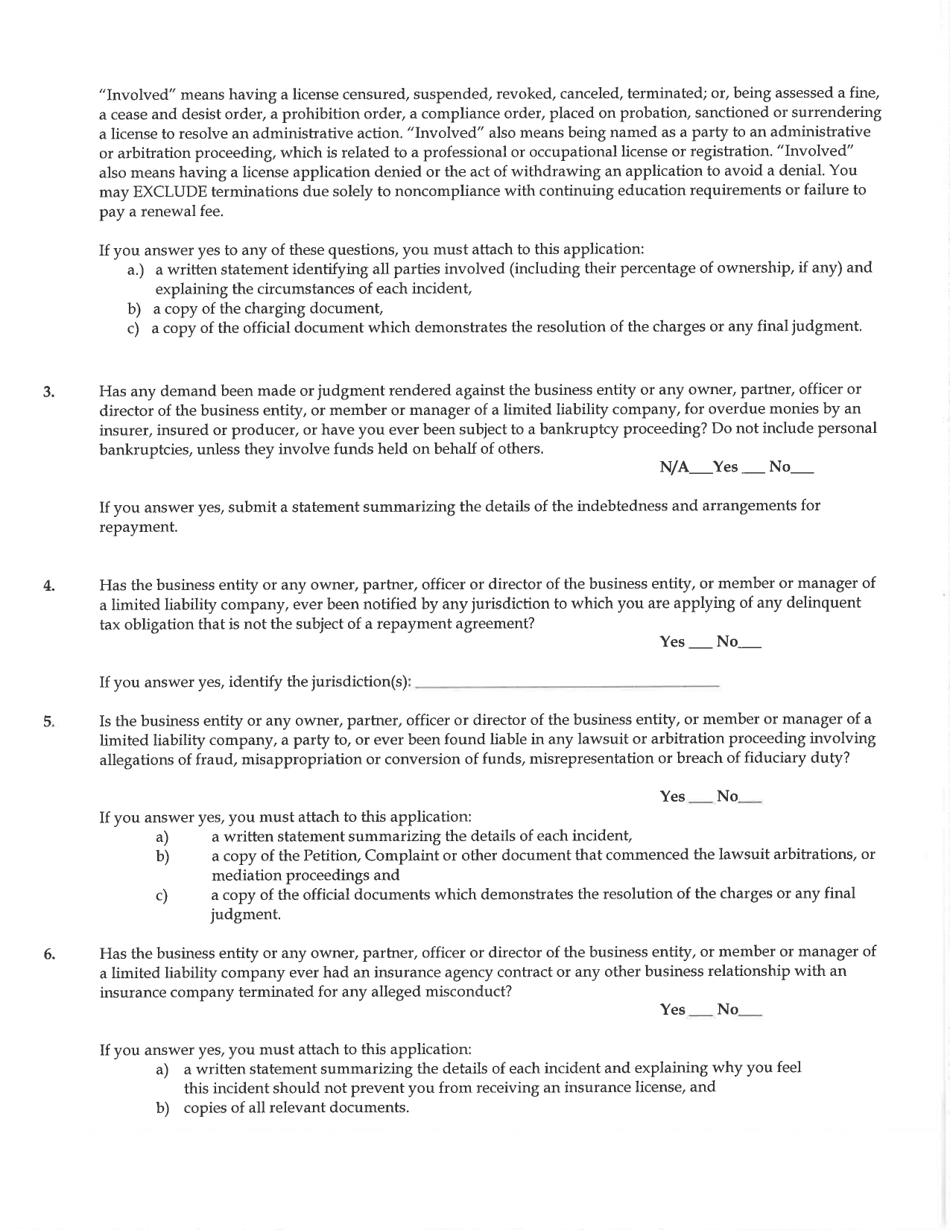
A: Form 3B is a document used to request a Viatical Settlement Provider License in Delaware.

Q: What is a Viatical Settlement Provider License?
A: A Viatical Settlement Provider License is a license that allows the holder to engage in viatical settlements in Delaware.

Q: What is a viatical settlement?
A: A viatical settlement is a financial transaction in which a life insurance policyholder sells their policy to a third party for a lump sum payment.

Q: Who needs to fill out Form 3B?
A: Anyone who wants to obtain a Viatical Settlement Provider License in Delaware needs to fill out Form 3B.

Q: What information is required on Form 3B?
A: Form 3B requires information such as the applicant's personal details, business information, financial statements, and documentation of compliance with Delaware's viatical settlement laws.

Q: How long does it take to process Form 3B?
A: The processing time for Form 3B can vary, so it is advisable to submit the form well in advance of any deadlines or time constraints.

Q: What happens after Form 3B is submitted?
A: After submitting Form 3B, the Delaware Department of Insurance will review the application and inform the applicant of the decision regarding the Viatical Settlement Provider License.

ADVERTISEMENT

Form Details:

  • Released on July 1, 2017;
  • The latest edition provided by the Delaware Department of Insurance;
  • Easy to use and ready to print;
  • Quick to customize;
  • Compatible with most PDF-viewing applications;
  • Fill out the form in our online filing application.

Download a printable version of Form 3B by clicking the link below or browse more documents and templates provided by the Delaware Department of Insurance.

Download Form 3B Request for Viatical Settlement Provider License - Delaware

4.3 of 5 (32 votes)
  • Form 3B Request for Viatical Settlement Provider License - Delaware

    1

  • Form 3B Request for Viatical Settlement Provider License - Delaware, Page 2

    2

  • Form 3B Request for Viatical Settlement Provider License - Delaware, Page 3

    3

  • Form 3B Request for Viatical Settlement Provider License - Delaware, Page 4

    4

  • Form 3B Request for Viatical Settlement Provider License - Delaware, Page 5

    5

  • Form 3B Request for Viatical Settlement Provider License - Delaware, Page 6

    6

  • Form 3B Request for Viatical Settlement Provider License - Delaware, Page 7

    7

  • Form 3B Request for Viatical Settlement Provider License - Delaware, Page 1
  • Form 3B Request for Viatical Settlement Provider License - Delaware, Page 2
  • Form 3B Request for Viatical Settlement Provider License - Delaware, Page 3
  • Form 3B Request for Viatical Settlement Provider License - Delaware, Page 4
  • Form 3B Request for Viatical Settlement Provider License - Delaware, Page 5
  • Form 3B Request for Viatical Settlement Provider License - Delaware, Page 6
  • Form 3B Request for Viatical Settlement Provider License - Delaware, Page 7
Prev 1 2 3 4 5 ... 7 Next
ADVERTISEMENT