FCC Form 396 Broadcast Equal Employment Opportunity Program Report

FCC Form 396 Broadcast Equal Employment Opportunity Program Report

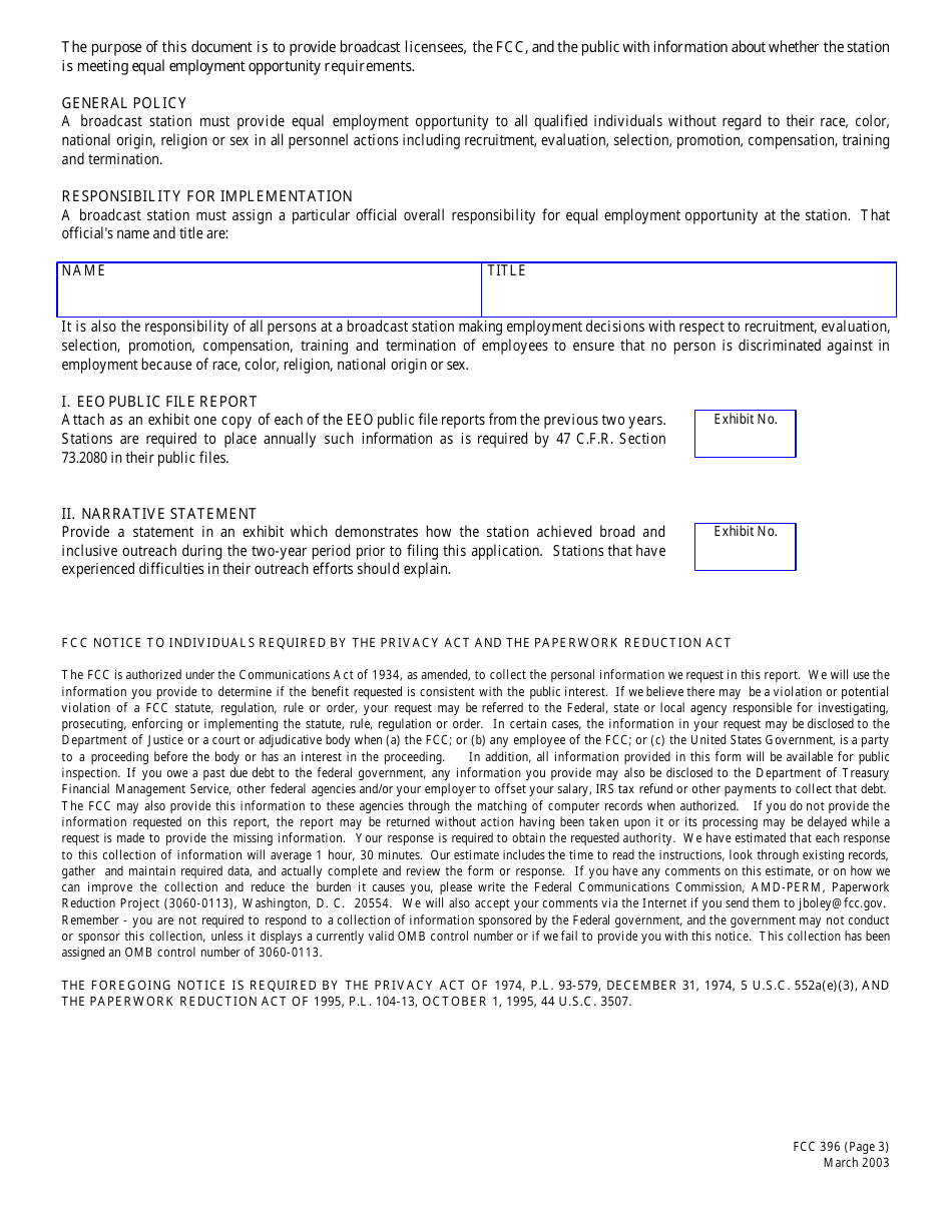
What Is FCC Form 396?

This is a legal form that was released by the Federal Communications Commission on March 1, 2003 and used country-wide. As of today, no separate filing guidelines for the form are provided by the issuing department.

FAQ

Q: What is FCC Form 396?
A: FCC Form 396 is the Broadcast Equal Employment Opportunity Program Report.

Q: What is the purpose of FCC Form 396?
A: The purpose of FCC Form 396 is to assess the employment practices of broadcast stations and ensure compliance with equal employment opportunity requirements.

Q: Who is required to file FCC Form 396?
A: All television and radio broadcast stations that have five or more full-time employees are required to file FCC Form 396.

Q: What information is included in FCC Form 396?
A: FCC Form 396 includes information about the station's equal employment opportunity policies, recruitment efforts, outreach initiatives, and workforce demographics.

Q: When is FCC Form 396 due?
A: FCC Form 396 is due annually on the anniversary date of the station's license renewal filing.

ADVERTISEMENT

Form Details:

  • Released on March 1, 2003;
  • The latest available edition released by the Federal Communications Commission;
  • Easy to use and ready to print;
  • Yours to fill out and keep for your records;
  • Compatible with most PDF-viewing applications;
  • Fill out the form in our online filing application.

Download a printable version of FCC Form 396 by clicking the link below or browse more documents and templates provided by the Federal Communications Commission.

Download FCC Form 396 Broadcast Equal Employment Opportunity Program Report

4.3 of 5 (8 votes)
  • FCC Form 396 Broadcast Equal Employment Opportunity Program Report

    1

  • FCC Form 396 Broadcast Equal Employment Opportunity Program Report, Page 2

    2

  • FCC Form 396 Broadcast Equal Employment Opportunity Program Report, Page 3

    3

  • FCC Form 396 Broadcast Equal Employment Opportunity Program Report, Page 1
  • FCC Form 396 Broadcast Equal Employment Opportunity Program Report, Page 2
  • FCC Form 396 Broadcast Equal Employment Opportunity Program Report, Page 3
Prev 1 2 3 Next
ADVERTISEMENT

Related Documents