Form DPA435 County Allegation of Intentional Program Violation / Statement of Position (Request for an Administrative Disqualification Hearing) - California

Notification Icon This version of the form is not currently in use and is provided for reference only. Download this version of Form DPA435 for the current year.

Form DPA435 County Allegation of Intentional Program Violation / Statement of Position (Request for an Administrative Disqualification Hearing) - California

What Is Form DPA435?

This is a legal form that was released by the California Department of Social Services - a government authority operating within California. As of today, no separate filing guidelines for the form are provided by the issuing department.

FAQ

Q: What is Form DPA435?
A: Form DPA435 is a document used in California for County Allegation of Intentional Program Violation/Statement of Position (Request for an Administrative Disqualification Hearing).

Q: What is the purpose of Form DPA435?
A: The purpose of Form DPA435 is to request an administrative disqualification hearing for an alleged intentional program violation.

Q: What is an intentional program violation?
A: An intentional program violation refers to deliberately providing false information or withholding information in order to receive or continue receiving program benefits.

Q: Who uses Form DPA435?
A: Form DPA435 is used by individuals in California who have been accused of intentional program violations and want to request a hearing.

Q: How do I fill out Form DPA435?
A: You need to provide your personal information, details about the allegation, your statement of position, and any supporting evidence.

ADVERTISEMENT

Form Details:

  • Released on January 1, 2018;
  • The latest edition provided by the California Department of Social Services;
  • Easy to use and ready to print;
  • Quick to customize;
  • Compatible with most PDF-viewing applications;
  • Fill out the form in our online filing application.

Download a fillable version of Form DPA435 by clicking the link below or browse more documents and templates provided by the California Department of Social Services.

Download Form DPA435 County Allegation of Intentional Program Violation / Statement of Position (Request for an Administrative Disqualification Hearing) - California

4.3 of 5 (52 votes)
  • Form DPA435 County Allegation of Intentional Program Violation/Statement of Position (Request for an Administrative Disqualification Hearing) - California

    1

  • Form DPA435 County Allegation of Intentional Program Violation/Statement of Position (Request for an Administrative Disqualification Hearing) - California, Page 2

    2

  • Form DPA435 County Allegation of Intentional Program Violation/Statement of Position (Request for an Administrative Disqualification Hearing) - California, Page 3

    3

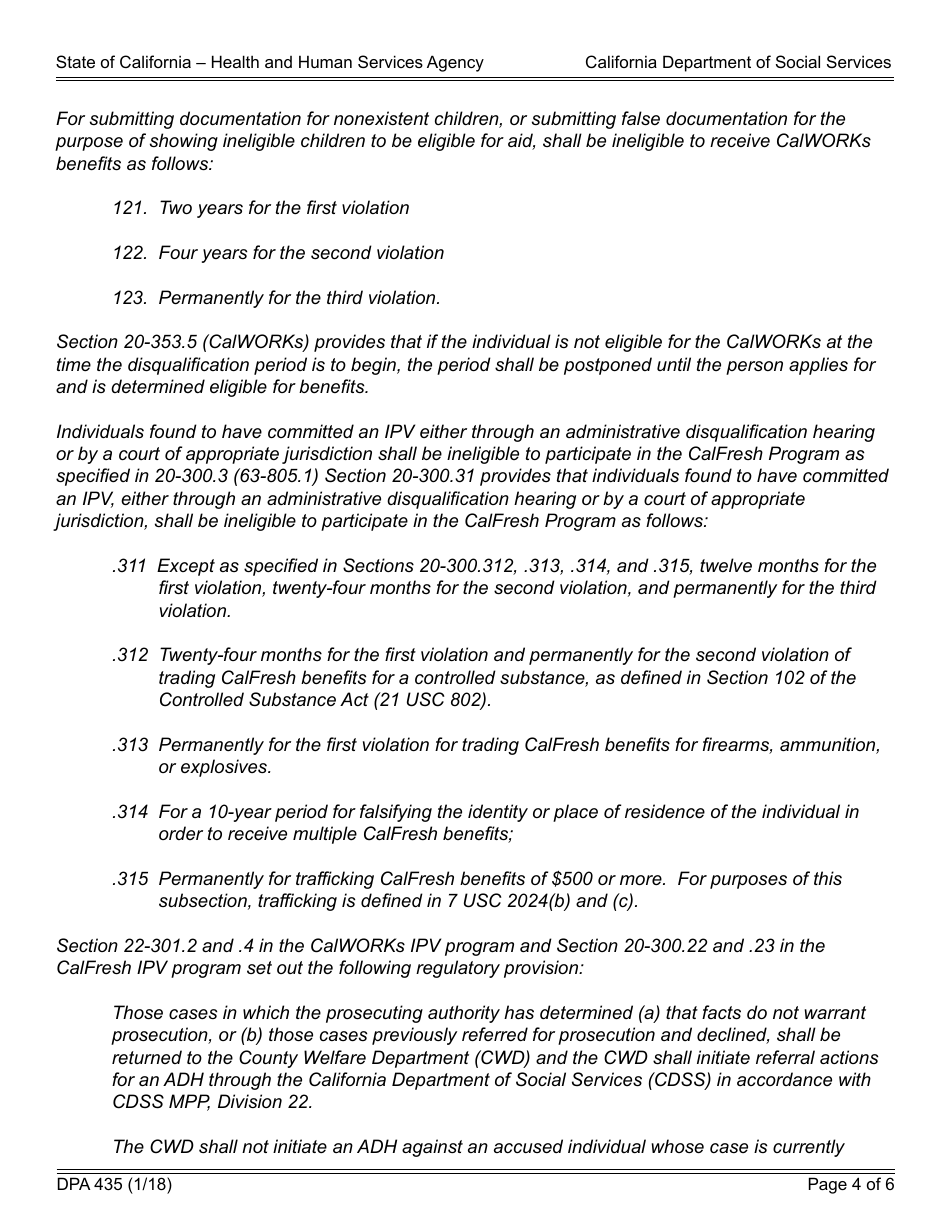
  • Form DPA435 County Allegation of Intentional Program Violation/Statement of Position (Request for an Administrative Disqualification Hearing) - California, Page 4

    4

  • Form DPA435 County Allegation of Intentional Program Violation/Statement of Position (Request for an Administrative Disqualification Hearing) - California, Page 5

    5

  • Form DPA435 County Allegation of Intentional Program Violation/Statement of Position (Request for an Administrative Disqualification Hearing) - California, Page 6

    6

  • Form DPA435 County Allegation of Intentional Program Violation / Statement of Position (Request for an Administrative Disqualification Hearing) - California, Page 1
  • Form DPA435 County Allegation of Intentional Program Violation / Statement of Position (Request for an Administrative Disqualification Hearing) - California, Page 2
  • Form DPA435 County Allegation of Intentional Program Violation / Statement of Position (Request for an Administrative Disqualification Hearing) - California, Page 3
  • Form DPA435 County Allegation of Intentional Program Violation / Statement of Position (Request for an Administrative Disqualification Hearing) - California, Page 4
  • Form DPA435 County Allegation of Intentional Program Violation / Statement of Position (Request for an Administrative Disqualification Hearing) - California, Page 5
  • Form DPA435 County Allegation of Intentional Program Violation / Statement of Position (Request for an Administrative Disqualification Hearing) - California, Page 6
Prev 1 2 3 4 5 6 Next
ADVERTISEMENT

Related Documents