DA Form 7654 Verification of Clinical Competencies for Emergency Nursing Skill Identifier (Si M5)

DA Form 7654 Verification of Clinical Competencies for Emergency Nursing Skill Identifier (Si M5)

What Is DA Form 7654?

This is a military form that was released by the U.S. Department of the Army (DA) on April 1, 2009. The form, often mistakenly referred to as the DD Form 7654, is a military form used by and within the U.S. Army. As of today, no separate instructions for the form are provided by the DA.

Form Details:

  • A 5-page document available for download in PDF;
  • The latest version available from the Army Publishing Directorate;
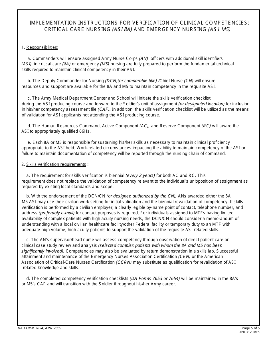
  • Additional instructions and information can be found on page 5 of the document;
  • Editable, free, and easy to use;
  • Fill out the form in our online filing application.

Download an up-to-date fillable DA Form 7654 down below in PDF format or browse hundreds of other DA Forms stored in our online database.

ADVERTISEMENT

Download DA Form 7654 Verification of Clinical Competencies for Emergency Nursing Skill Identifier (Si M5)

4.3 of 5 (96 votes)
  • DA Form 7654 Verification of Clinical Competencies for Emergency Nursing Skill Identifier (Si M5)

    1

  • DA Form 7654 Verification of Clinical Competencies for Emergency Nursing Skill Identifier (Si M5), Page 2

    2

  • DA Form 7654 Verification of Clinical Competencies for Emergency Nursing Skill Identifier (Si M5), Page 3

    3

  • DA Form 7654 Verification of Clinical Competencies for Emergency Nursing Skill Identifier (Si M5), Page 4

    4

  • DA Form 7654 Verification of Clinical Competencies for Emergency Nursing Skill Identifier (Si M5), Page 5

    5

  • DA Form 7654 Verification of Clinical Competencies for Emergency Nursing Skill Identifier (Si M5), Page 1
  • DA Form 7654 Verification of Clinical Competencies for Emergency Nursing Skill Identifier (Si M5), Page 2
  • DA Form 7654 Verification of Clinical Competencies for Emergency Nursing Skill Identifier (Si M5), Page 3
  • DA Form 7654 Verification of Clinical Competencies for Emergency Nursing Skill Identifier (Si M5), Page 4
  • DA Form 7654 Verification of Clinical Competencies for Emergency Nursing Skill Identifier (Si M5), Page 5
Prev 1 2 3 4 5 Next
ADVERTISEMENT