Form HUD-9624 Contract Renewal Request Form - Multifamily Section 8 Contracts

Form HUD-9624 Contract Renewal Request Form - Multifamily Section 8 Contracts

What Is Form HUD-9624?

This is a legal form that was released by the U.S. Department of Housing and Urban Development on July 1, 2008 and used country-wide. As of today, no separate filing guidelines for the form are provided by the issuing department.

FAQ

Q: What is the Form HUD-9624?
A: Form HUD-9624 is the Contract Renewal Request Form for Multifamily Section 8 Contracts.

Q: Who uses the Form HUD-9624?
A: The Form HUD-9624 is used by owners and agents of multifamily properties with Section 8 contracts.

Q: What is the purpose of the Form HUD-9624?
A: The purpose of the Form HUD-9624 is to request the renewal of a Section 8 contract for a multifamily property.

Q: What information is required on the Form HUD-9624?
A: The form requires information about the property, the contract being renewed, the owner/agent, and other relevant details.

Q: Is the Form HUD-9624 mandatory?
A: Yes, the Form HUD-9624 is mandatory for owners and agents requesting the renewal of a Section 8 contract for a multifamily property.

Q: Are there any fees associated with the Form HUD-9624?
A: No, there are no fees associated with the Form HUD-9624.

Q: Can the Form HUD-9624 be submitted electronically?
A: Yes, the Form HUD-9624 can be submitted electronically through the prescribed channels.

Q: What is the deadline for submitting the Form HUD-9624?
A: The deadline for submitting the Form HUD-9624 is specified in the instructions provided by HUD.

Q: Who should I contact for assistance with the Form HUD-9624?
A: For assistance with the Form HUD-9624, you can contact the local HUD office or the Multifamily Hub in your region.

ADVERTISEMENT

Form Details:

  • Released on July 1, 2008;
  • The latest available edition released by the U.S. Department of Housing and Urban Development;
  • Easy to use and ready to print;
  • Yours to fill out and keep for your records;
  • Compatible with most PDF-viewing applications;
  • Fill out the form in our online filing application.

Download a fillable version of Form HUD-9624 by clicking the link below or browse more documents and templates provided by the U.S. Department of Housing and Urban Development.

Download Form HUD-9624 Contract Renewal Request Form - Multifamily Section 8 Contracts

4.8 of 5 (56 votes)
  • Form HUD-9624 Contract Renewal Request Form - Multifamily Section 8 Contracts

    1

  • Form HUD-9624 Contract Renewal Request Form - Multifamily Section 8 Contracts, Page 2

    2

  • Form HUD-9624 Contract Renewal Request Form - Multifamily Section 8 Contracts, Page 3

    3

  • Form HUD-9624 Contract Renewal Request Form - Multifamily Section 8 Contracts, Page 4

    4

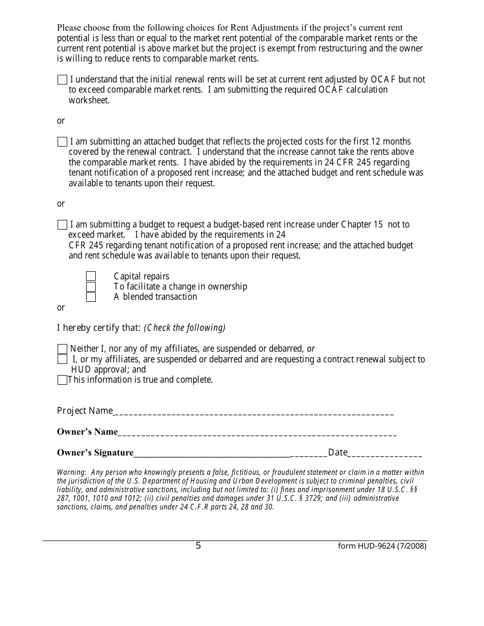
  • Form HUD-9624 Contract Renewal Request Form - Multifamily Section 8 Contracts, Page 5

    5

  • Form HUD-9624 Contract Renewal Request Form - Multifamily Section 8 Contracts, Page 6

    6

  • Form HUD-9624 Contract Renewal Request Form - Multifamily Section 8 Contracts, Page 7

    7

  • Form HUD-9624 Contract Renewal Request Form - Multifamily Section 8 Contracts, Page 8

    8

  • Form HUD-9624 Contract Renewal Request Form - Multifamily Section 8 Contracts, Page 9

    9

  • Form HUD-9624 Contract Renewal Request Form - Multifamily Section 8 Contracts, Page 10

    10

  • Form HUD-9624 Contract Renewal Request Form - Multifamily Section 8 Contracts, Page 11

    11

  • Form HUD-9624 Contract Renewal Request Form - Multifamily Section 8 Contracts, Page 12

    12

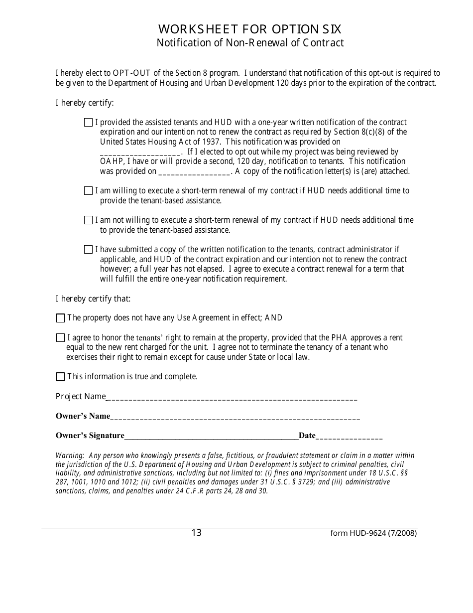
  • Form HUD-9624 Contract Renewal Request Form - Multifamily Section 8 Contracts, Page 13

    13

  • Form HUD-9624 Contract Renewal Request Form - Multifamily Section 8 Contracts, Page 1
  • Form HUD-9624 Contract Renewal Request Form - Multifamily Section 8 Contracts, Page 2
  • Form HUD-9624 Contract Renewal Request Form - Multifamily Section 8 Contracts, Page 3
  • Form HUD-9624 Contract Renewal Request Form - Multifamily Section 8 Contracts, Page 4
  • Form HUD-9624 Contract Renewal Request Form - Multifamily Section 8 Contracts, Page 5
  • Form HUD-9624 Contract Renewal Request Form - Multifamily Section 8 Contracts, Page 6
  • Form HUD-9624 Contract Renewal Request Form - Multifamily Section 8 Contracts, Page 7
  • Form HUD-9624 Contract Renewal Request Form - Multifamily Section 8 Contracts, Page 8
  • Form HUD-9624 Contract Renewal Request Form - Multifamily Section 8 Contracts, Page 9
  • Form HUD-9624 Contract Renewal Request Form - Multifamily Section 8 Contracts, Page 10
  • Form HUD-9624 Contract Renewal Request Form - Multifamily Section 8 Contracts, Page 11
  • Form HUD-9624 Contract Renewal Request Form - Multifamily Section 8 Contracts, Page 12
  • Form HUD-9624 Contract Renewal Request Form - Multifamily Section 8 Contracts, Page 13
Prev 1 2 3 4 5 ... 13 Next
ADVERTISEMENT