Form SC-1 Temporary Order of Protection - New York

Notification Icon This version of the form is not currently in use and is provided for reference only. Download this version of Form SC-1 for the current year.

Form SC-1 Temporary Order of Protection - New York

What Is Form SC-1?

This is a legal form that was released by the New York Supreme Court - a government authority operating within New York. As of today, no separate filing guidelines for the form are provided by the issuing department.

FAQ

Q: What is Form SC-1 Temporary Order of Protection?
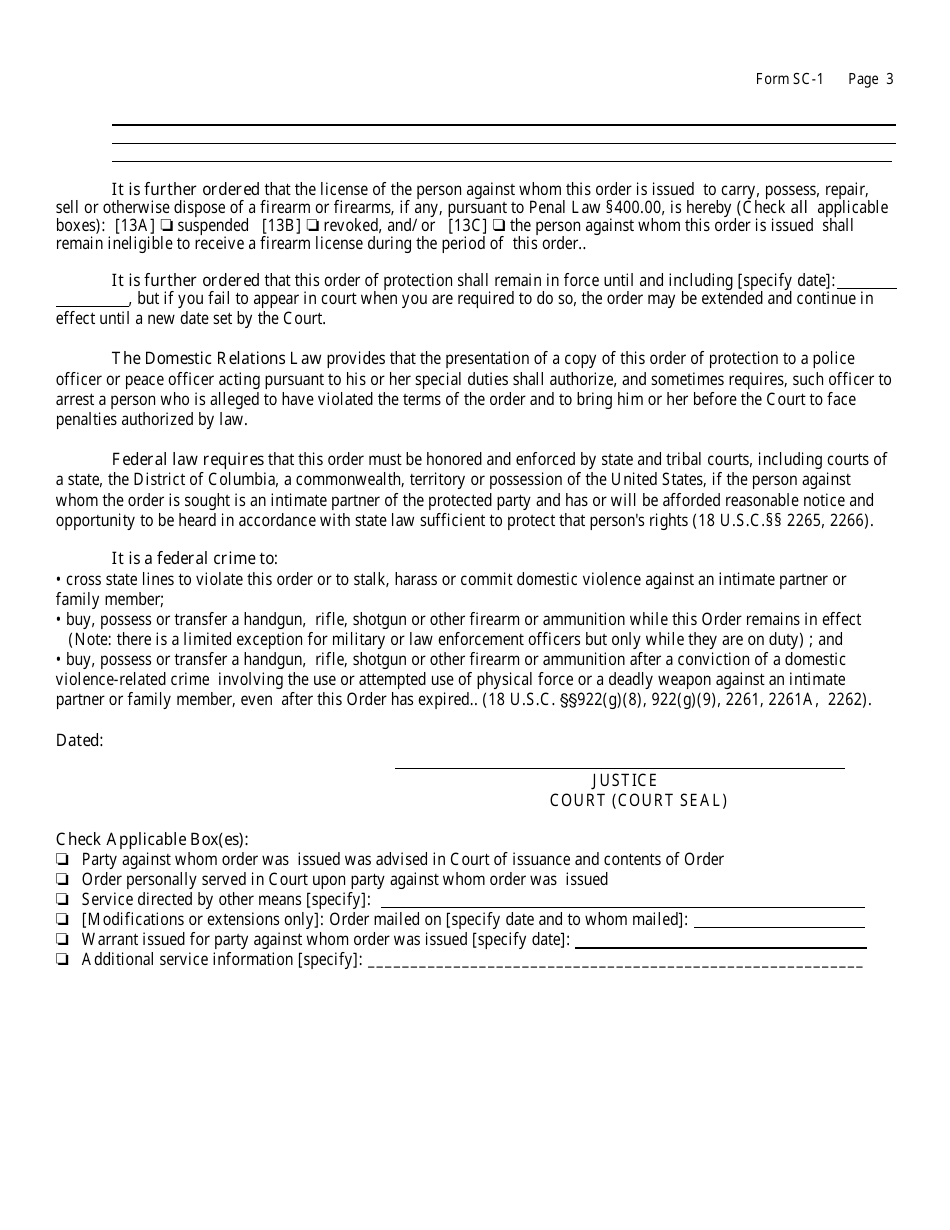
A: Form SC-1 Temporary Order of Protection is a legal document used in New York to request a temporary order of protection against someone who has threatened or harmed you.

Q: Who can use Form SC-1 Temporary Order of Protection?
A: Anyone who has been threatened or harmed by someone can use Form SC-1 Temporary Order of Protection.

Q: How does Form SC-1 Temporary Order of Protection work?
A: To obtain a temporary order of protection, you need to fill out Form SC-1 and submit it to the court. If the court finds that you are in immediate danger, they may issue a temporary order of protection.

Q: What does a temporary order of protection do?
A: A temporary order of protection can order the person who has threatened or harmed you to stay away from you, your home, and your workplace. It may also prohibit contact and require the surrender of firearms.

Q: What happens after a temporary order of protection is issued?
A: After a temporary order of protection is issued, a hearing will be scheduled to determine if a final order of protection should be granted.

ADVERTISEMENT

Form Details:

  • Released on December 1, 2013;
  • The latest edition provided by the New York Supreme Court;
  • Easy to use and ready to print;
  • Quick to customize;
  • Compatible with most PDF-viewing applications;
  • Fill out the form in our online filing application.

Download a printable version of Form SC-1 by clicking the link below or browse more documents and templates provided by the New York Supreme Court.

Download Form SC-1 Temporary Order of Protection - New York

4.3 of 5 (63 votes)
  • Form SC-1 Temporary Order of Protection - New York

    1

  • Form SC-1 Temporary Order of Protection - New York, Page 2

    2

  • Form SC-1 Temporary Order of Protection - New York, Page 3

    3

  • Form SC-1 Temporary Order of Protection - New York, Page 1
  • Form SC-1 Temporary Order of Protection - New York, Page 2
  • Form SC-1 Temporary Order of Protection - New York, Page 3
Prev 1 2 3 Next
ADVERTISEMENT

Related Documents