Instructions for Form R-16019 Application for Louisiana Revenue Account Number - Louisiana

Instructions for Form R-16019 Application for Louisiana Revenue Account Number - Louisiana

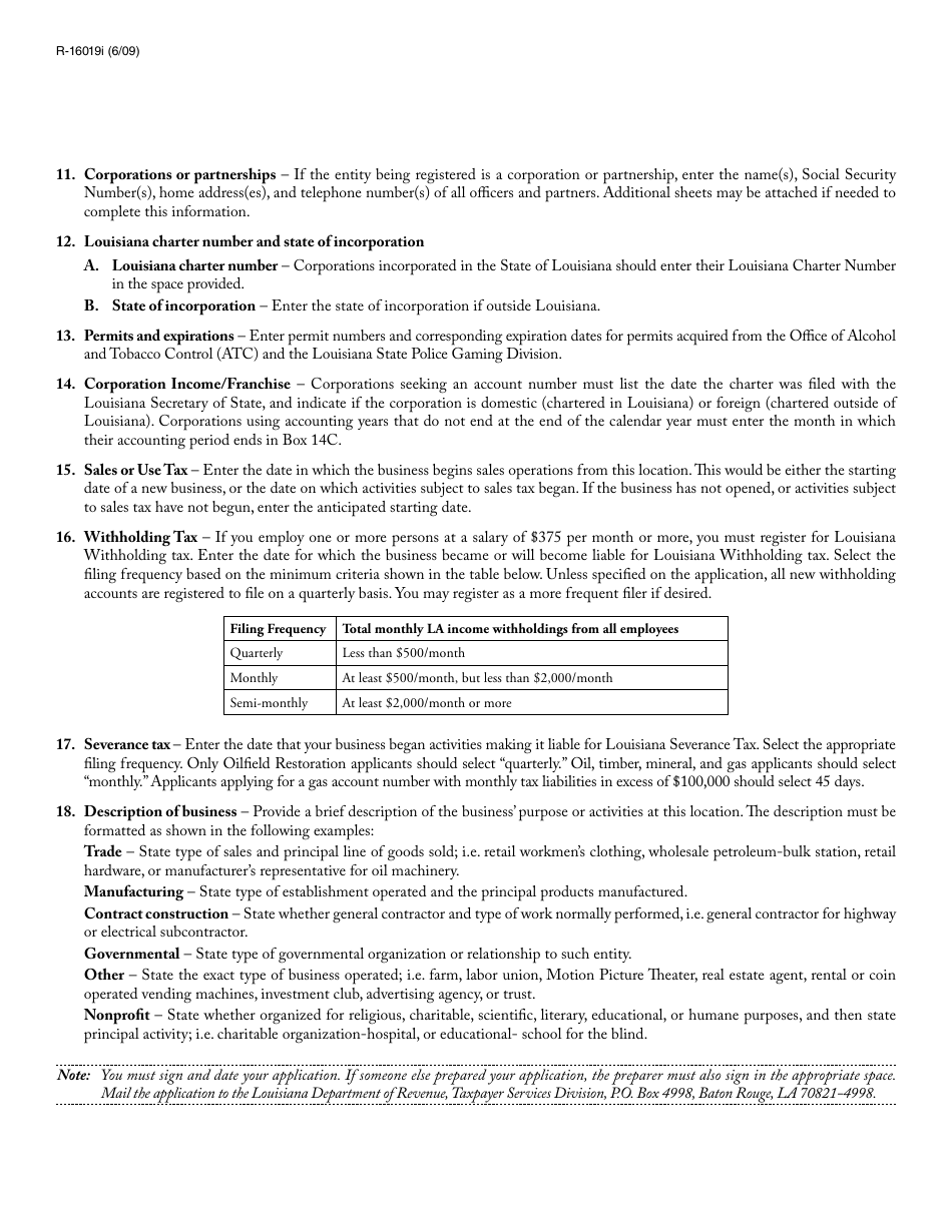
This document contains official instructions for Form R-16019 , Application for Louisiana Revenue Account Number - a form released and collected by the Louisiana Department of Revenue. An up-to-date fillable Form R-16019 is available for download through this link.

FAQ

Q: What is Form R-16019?
A: Form R-16019 is an application for a Louisiana Revenue Account Number.

Q: Who needs to file Form R-16019?
A: Any individual or business entity that wants to establish a Louisiana Revenue Account Number needs to file Form R-16019.

Q: What is a Louisiana Revenue Account Number used for?
A: A Louisiana Revenue Account Number is used for various tax and revenue purposes, such as sales tax collection and reporting.

Q: Are there any fees for filing Form R-16019?
A: No, there are no fees for filing Form R-16019.

Q: What supporting documents do I need to include with Form R-16019?
A: You may need to include supporting documents such as identification documents, proof of business registration, and other relevant documents.

Q: How long does it take to process Form R-16019?
A: Processing times for Form R-16019 may vary, but it typically takes a few weeks.

Q: What should I do if I need assistance with Form R-16019?
A: If you need assistance with Form R-16019, you can contact the Louisiana Department of Revenue's customer service for help.

ADVERTISEMENT

Instruction Details:

  • This 3-page document is available for download in PDF;
  • Actual and applicable for the current year;
  • Complete, printable, and free.

Download your copy of the instructions by clicking the link below or browse hundreds of other forms in our library of forms released by the Louisiana Department of Revenue.

Download Instructions for Form R-16019 Application for Louisiana Revenue Account Number - Louisiana

4.8 of 5 (18 votes)
  • Instructions for Form R-16019 Application for Louisiana Revenue Account Number - Louisiana

    1

  • Instructions for Form R-16019 Application for Louisiana Revenue Account Number - Louisiana, Page 2

    2

  • Instructions for Form R-16019 Application for Louisiana Revenue Account Number - Louisiana, Page 3

    3

  • Instructions for Form R-16019 Application for Louisiana Revenue Account Number - Louisiana, Page 1
  • Instructions for Form R-16019 Application for Louisiana Revenue Account Number - Louisiana, Page 2
  • Instructions for Form R-16019 Application for Louisiana Revenue Account Number - Louisiana, Page 3
Prev 1 2 3 Next
ADVERTISEMENT