OTC Form 737 Affidavit of Repossession of a Vehicle, Boat or Outboard Motor - Oklahoma

Notification Icon This version of the form is not currently in use and is provided for reference only. Download this version of OTC Form 737 for the current year.

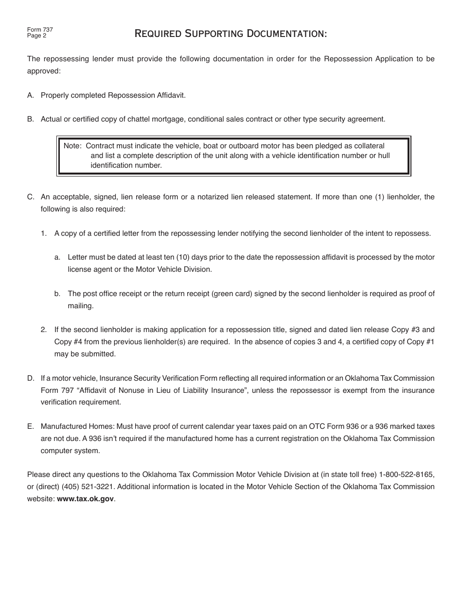
OTC Form 737 Affidavit of Repossession of a Vehicle, Boat or Outboard Motor - Oklahoma

What Is OTC Form 737?

This is a legal form that was released by the Oklahoma Tax Commission - a government authority operating within Oklahoma. As of today, no separate filing guidelines for the form are provided by the issuing department.

FAQ

Q: What is OTC Form 737?
A: OTC Form 737 is the Affidavit of Repossession of a Vehicle, Boat or Outboard Motor specific to Oklahoma.

Q: What is the purpose of OTC Form 737?
A: The purpose of OTC Form 737 is to document the repossession of a vehicle, boat, or outboard motor in Oklahoma.

Q: Who needs to fill out OTC Form 737?
A: OTC Form 737 must be completed by the party repossessing the vehicle, boat, or outboard motor.

Q: What information is required on OTC Form 737?
A: Some of the required information on OTC Form 737 includes the repossessor's name and address, the vehicle, boat, or outboard motor details, and the reason for repossession.

Q: Are there any fees associated with OTC Form 737?
A: Yes, there is a fee for filing OTC Form 737. The fee amount can be obtained from the Oklahoma Tax Commission.

Q: What should I do with OTC Form 737 once it is completed?
A: Once OTC Form 737 is completed, it should be submitted to the Oklahoma Tax Commission for processing.

Q: Is OTC Form 737 only applicable in Oklahoma?
A: Yes, OTC Form 737 is specific to Oklahoma and is not applicable in other states.

Q: Can I use OTC Form 737 for any type of repossession?
A: OTC Form 737 is specifically designed for repossession of vehicles, boats, and outboard motors in Oklahoma.

ADVERTISEMENT

Form Details:

  • Released on February 1, 2016;
  • The latest edition provided by the Oklahoma Tax Commission;
  • Easy to use and ready to print;
  • Quick to customize;
  • Compatible with most PDF-viewing applications;
  • Fill out the form in our online filing application.

Download a fillable version of OTC Form 737 by clicking the link below or browse more documents and templates provided by the Oklahoma Tax Commission.

Download OTC Form 737 Affidavit of Repossession of a Vehicle, Boat or Outboard Motor - Oklahoma

4.8 of 5 (72 votes)
  • OTC Form 737 Affidavit of Repossession of a Vehicle, Boat or Outboard Motor - Oklahoma

    1

  • OTC Form 737 Affidavit of Repossession of a Vehicle, Boat or Outboard Motor - Oklahoma, Page 2

    2

  • OTC Form 737 Affidavit of Repossession of a Vehicle, Boat or Outboard Motor - Oklahoma, Page 1
  • OTC Form 737 Affidavit of Repossession of a Vehicle, Boat or Outboard Motor - Oklahoma, Page 2
Prev 1 2 Next
ADVERTISEMENT