USAREC Form 601-37.63 Armed Forces Service Agreement - Critical Wartime Skills Accession Bonus for Physician and Dental Specialist

USAREC Form 601-37.63 Armed Forces Service Agreement - Critical Wartime Skills Accession Bonus for Physician and Dental Specialist

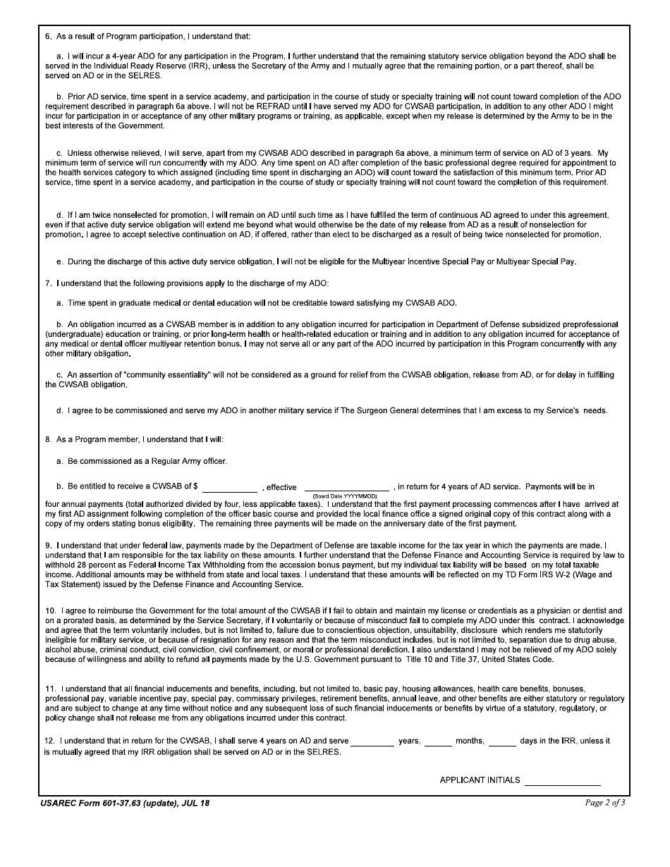
What Is USAREC Form 601-37.63?

This is a legal form that was released by the United States Army Recruiting Command on July 1, 2018 and used country-wide. As of today, no separate filing guidelines for the form are provided by the issuing department.

FAQ

Q: What is USAREC Form 601-37.63?
A: USAREC Form 601-37.63 is the Armed Forces Service Agreement - Critical Wartime Skills Accession Bonus for Physician and Dental Specialist.

Q: What is the purpose of USAREC Form 601-37.63?
A: The purpose of USAREC Form 601-37.63 is to outline the terms and conditions for receiving the Critical Wartime Skills Accession Bonus for Physician and Dental Specialist.

Q: Who is eligible for the Critical Wartime Skills Accession Bonus?
A: Physicians and dental specialists are eligible for the Critical Wartime Skills Accession Bonus.

Q: What is the Critical Wartime Skills Accession Bonus?
A: The Critical Wartime Skills Accession Bonus is a bonus offered to physicians and dental specialists for their service during critical wartime periods.

Q: How do I apply for the Critical Wartime Skills Accession Bonus?
A: To apply for the Critical Wartime Skills Accession Bonus, you must complete and submit USAREC Form 601-37.63 to the appropriate military authority.

Q: What are the terms and conditions of the Critical Wartime Skills Accession Bonus?
A: The terms and conditions of the Critical Wartime Skills Accession Bonus are outlined in USAREC Form 601-37.63 and may vary depending on the specific circumstances and needs of the military.

Q: Is the Critical Wartime Skills Accession Bonus taxable?
A: Yes, the Critical Wartime Skills Accession Bonus is subject to federal income tax, unless excluded by specific provisions of the Internal Revenue Code.

Q: Can the Critical Wartime Skills Accession Bonus be repaid?
A: The Critical Wartime Skills Accession Bonus may be subject to repayment if the recipient fails to fulfill the terms and conditions outlined in USAREC Form 601-37.63.

Q: Who can I contact for more information about the Critical Wartime Skills Accession Bonus?
A: For more information about the Critical Wartime Skills Accession Bonus, you can contact your local military recruitment office or the U.S. Army Recruiting Command (USAREC).

ADVERTISEMENT

Form Details:

  • Released on July 1, 2018;
  • The latest available edition released by the United States Army Recruiting Command;
  • Easy to use and ready to print;
  • Yours to fill out and keep for your records;
  • Compatible with most PDF-viewing applications;
  • Fill out the form in our online filing application.

Download a fillable version of USAREC Form 601-37.63 by clicking the link below or browse more documents and templates provided by the United States Army Recruiting Command.

Download USAREC Form 601-37.63 Armed Forces Service Agreement - Critical Wartime Skills Accession Bonus for Physician and Dental Specialist

4.3 of 5 (44 votes)
  • USAREC Form 601-37.63 Armed Forces Service Agreement - Critical Wartime Skills Accession Bonus for Physician and Dental Specialist

    1

  • USAREC Form 601-37.63 Armed Forces Service Agreement - Critical Wartime Skills Accession Bonus for Physician and Dental Specialist, Page 2

    2

  • USAREC Form 601-37.63 Armed Forces Service Agreement - Critical Wartime Skills Accession Bonus for Physician and Dental Specialist, Page 3

    3

  • USAREC Form 601-37.63 Armed Forces Service Agreement - Critical Wartime Skills Accession Bonus for Physician and Dental Specialist, Page 1
  • USAREC Form 601-37.63 Armed Forces Service Agreement - Critical Wartime Skills Accession Bonus for Physician and Dental Specialist, Page 2
  • USAREC Form 601-37.63 Armed Forces Service Agreement - Critical Wartime Skills Accession Bonus for Physician and Dental Specialist, Page 3
Prev 1 2 3 Next
ADVERTISEMENT