Form MV-521 Driving School License Application - New York

Notification Icon This version of the form is not currently in use and is provided for reference only. Download this version of Form MV-521 for the current year.

Form MV-521 Driving School License Application - New York

What Is Form MV-521?

This is a legal form that was released by the New York State Department of Motor Vehicles - a government authority operating within New York. As of today, no separate filing guidelines for the form are provided by the issuing department.

FAQ

Q: What is Form MV-521?
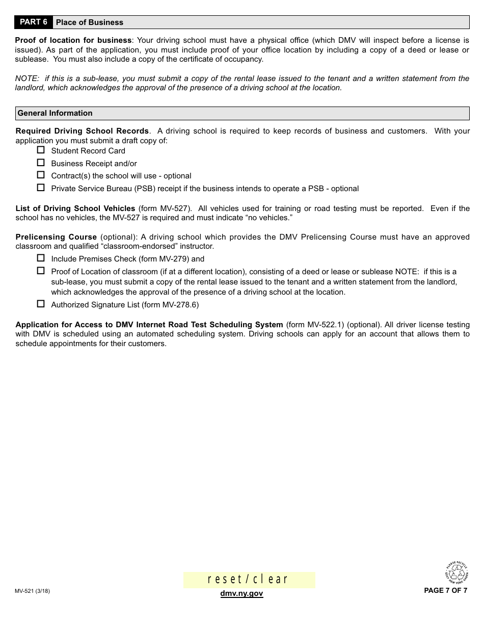
A: Form MV-521 is the Driving School License Application for the state of New York.

Q: Who needs to fill out Form MV-521?
A: Driving schools in New York need to fill out Form MV-521 to apply for a license.

Q: What is the purpose of Form MV-521?
A: The purpose of Form MV-521 is to apply for a license to operate a driving school in New York.

Q: What information is required on Form MV-521?
A: Form MV-521 requires information about the driving school, its instructors, the type of vehicles used, and other relevant details.

Q: Are there any fees associated with Form MV-521?
A: Yes, there are fees associated with the Driving School License Application. The fees vary depending on the type of license being applied for and other factors.

Q: Is there a deadline for submitting Form MV-521?
A: There is no specific deadline for submitting Form MV-521, but it is recommended to submit the application well in advance to allow for processing time.

Q: What happens after submitting Form MV-521?
A: After submitting Form MV-521, the application will be reviewed by the New York DMV. If approved, the driving school will be issued a license.

Q: What if my Form MV-521 is not approved?
A: If Form MV-521 is not approved, the DMV will provide information on why the application was denied and what steps can be taken to rectify the issue.

ADVERTISEMENT

Form Details:

  • Released on March 1, 2018;
  • The latest edition provided by the New York State Department of Motor Vehicles;
  • Easy to use and ready to print;
  • Quick to customize;
  • Compatible with most PDF-viewing applications;
  • Fill out the form in our online filing application.

Download a fillable version of Form MV-521 by clicking the link below or browse more documents and templates provided by the New York State Department of Motor Vehicles.

Download Form MV-521 Driving School License Application - New York

4.8 of 5 (35 votes)
  • Form MV-521 Driving School License Application - New York

    1

  • Form MV-521 Driving School License Application - New York, Page 2

    2

  • Form MV-521 Driving School License Application - New York, Page 3

    3

  • Form MV-521 Driving School License Application - New York, Page 4

    4

  • Form MV-521 Driving School License Application - New York, Page 5

    5

  • Form MV-521 Driving School License Application - New York, Page 6

    6

  • Form MV-521 Driving School License Application - New York, Page 7

    7

  • Form MV-521 Driving School License Application - New York, Page 1
  • Form MV-521 Driving School License Application - New York, Page 2
  • Form MV-521 Driving School License Application - New York, Page 3
  • Form MV-521 Driving School License Application - New York, Page 4
  • Form MV-521 Driving School License Application - New York, Page 5
  • Form MV-521 Driving School License Application - New York, Page 6
  • Form MV-521 Driving School License Application - New York, Page 7
Prev 1 2 3 4 5 ... 7 Next
ADVERTISEMENT

Related Documents