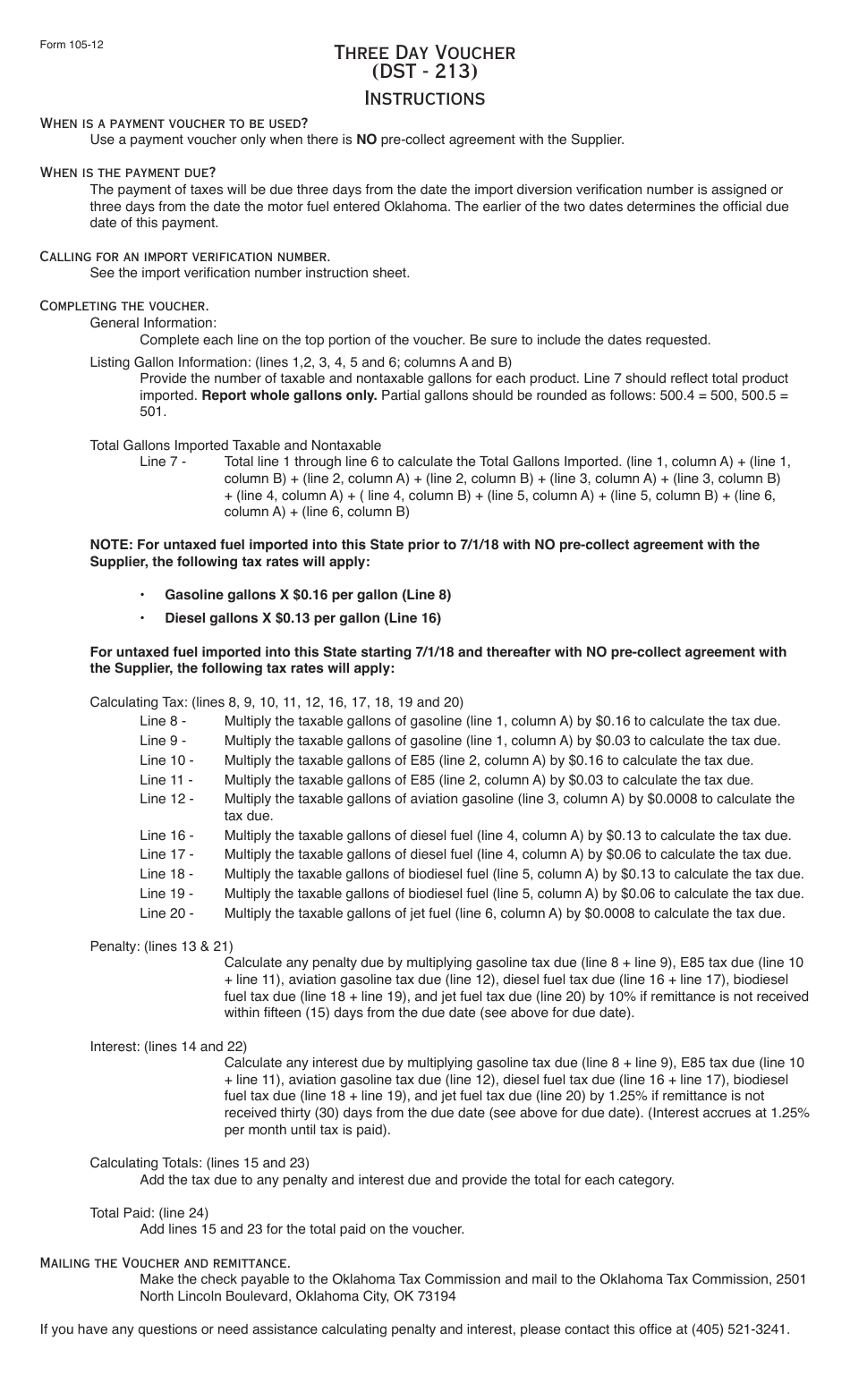
OTC Form DST-213 (105-12) Three Day Permit Voucher - Oklahoma

OTC Form DST-213 (105-12) Three Day Permit Voucher - Oklahoma

What Is OTC Form DST-213 (105-12)?

This is a legal form that was released by the Oklahoma Tax Commission - a government authority operating within Oklahoma. As of today, no separate filing guidelines for the form are provided by the issuing department.

FAQ

Q: What is OTC Form DST-213?
A: OTC Form DST-213 is a Three Day Permit Voucher used in Oklahoma.

Q: What is the purpose of OTC Form DST-213?
A: The purpose of OTC Form DST-213 is to obtain a temporary three-day permit for certain activities in Oklahoma.

Q: What activities require a Three Day Permit Voucher?
A: Activities such as selling alcoholic beverages, conducting special events, or temporary sales need a Three Day Permit Voucher.

Q: How long is the Three Day Permit valid for?
A: The Three Day Permit is valid for a period of three consecutive days.

Q: Do I need to pay a fee for the Three Day Permit?
A: Yes, there is a fee associated with the Three Day Permit. The fee amount may vary depending on the type of activity.

Q: Do I need to submit any supporting documents with the Three Day Permit application?
A: Yes, you may need to submit supporting documents such as proof of liability insurance or event details along with the Three Day Permit application.

Q: Is the Three Day Permit transferable?
A: No, the Three Day Permit is not transferable. It is issued specifically for the individual or organization mentioned in the permit.

Q: What are the consequences of operating without a Three Day Permit?
A: Operating without a required Three Day Permit may lead to penalties, fines, or other legal consequences.

ADVERTISEMENT

Form Details:

  • Released on July 1, 2018;
  • The latest edition provided by the Oklahoma Tax Commission;
  • Easy to use and ready to print;
  • Quick to customize;
  • Compatible with most PDF-viewing applications;
  • Fill out the form in our online filing application.

Download a fillable version of OTC Form DST-213 (105-12) by clicking the link below or browse more documents and templates provided by the Oklahoma Tax Commission.

Download OTC Form DST-213 (105-12) Three Day Permit Voucher - Oklahoma

4.8 of 5 (70 votes)
  • OTC Form DST-213 (105-12) Three Day Permit Voucher - Oklahoma

    1

  • OTC Form DST-213 (105-12) Three Day Permit Voucher - Oklahoma, Page 2

    2

  • OTC Form DST-213 (105-12) Three Day Permit Voucher - Oklahoma, Page 3

    3

  • OTC Form DST-213 (105-12) Three Day Permit Voucher - Oklahoma, Page 1
  • OTC Form DST-213 (105-12) Three Day Permit Voucher - Oklahoma, Page 2
  • OTC Form DST-213 (105-12) Three Day Permit Voucher - Oklahoma, Page 3
Prev 1 2 3 Next
ADVERTISEMENT

Related Documents