FWS Form 3-200-19 Federal Fish and Wildlife Permit Application Form - Import of Sport-Hunted Trophies of Southern African Leopard and Namibian Southern White Rhinoceros

FWS Form 3-200-19 Federal Fish and Wildlife Permit Application Form - Import of Sport-Hunted Trophies of Southern African Leopard and Namibian Southern White Rhinoceros

What Is FWS Form 3-200-19?

This is a legal form that was released by the U.S. Department of the Interior - Fish and Wildlife Service on August 1, 2017 and used country-wide. As of today, no separate filing guidelines for the form are provided by the issuing department.

FAQ

Q: What is FWS Form 3-200-19?
A: FWS Form 3-200-19 is a Federal Fish and Wildlife Permit Application Form.

Q: What does the form apply for?
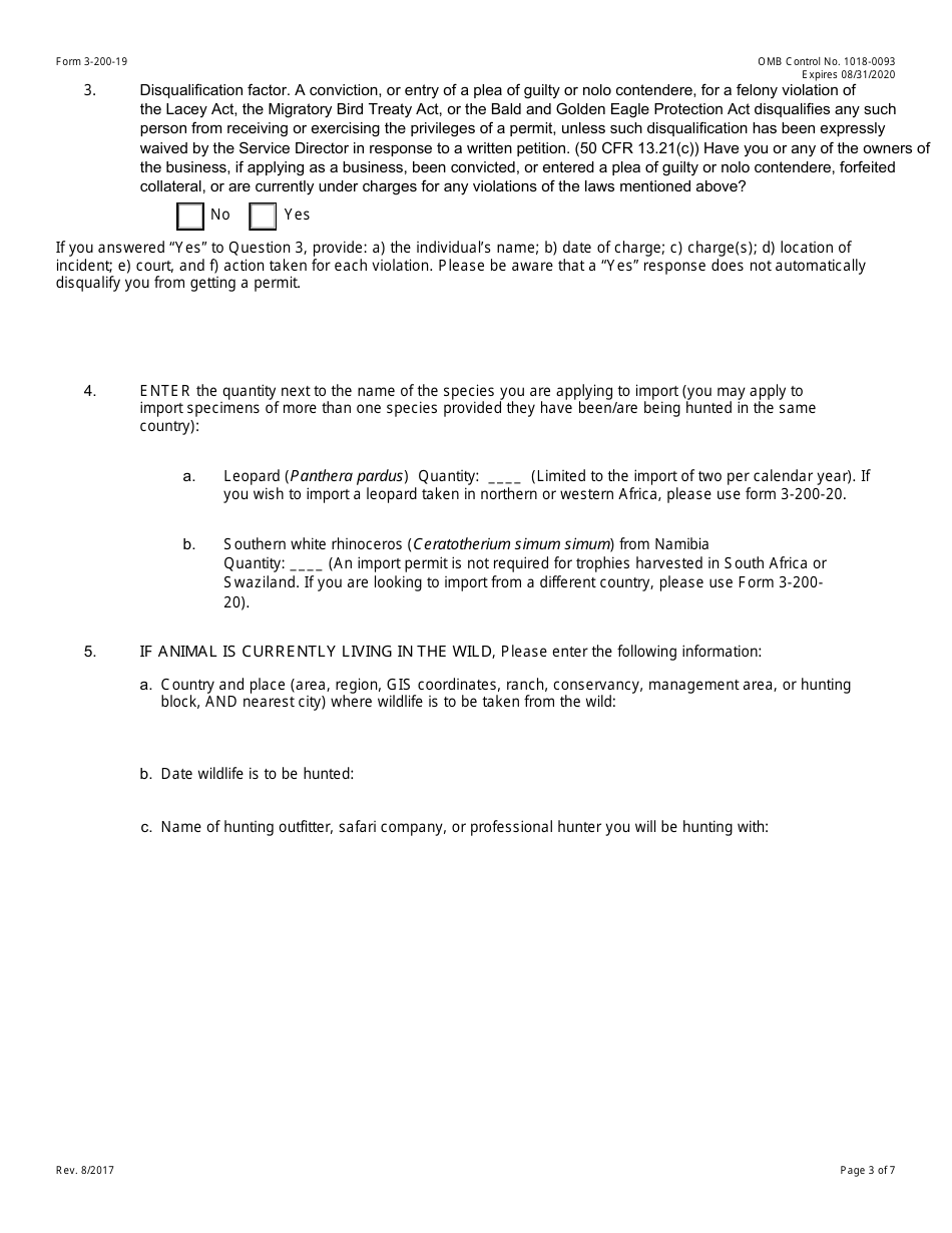
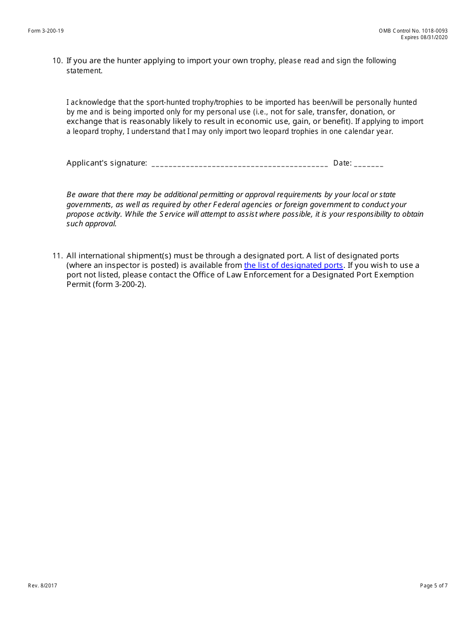
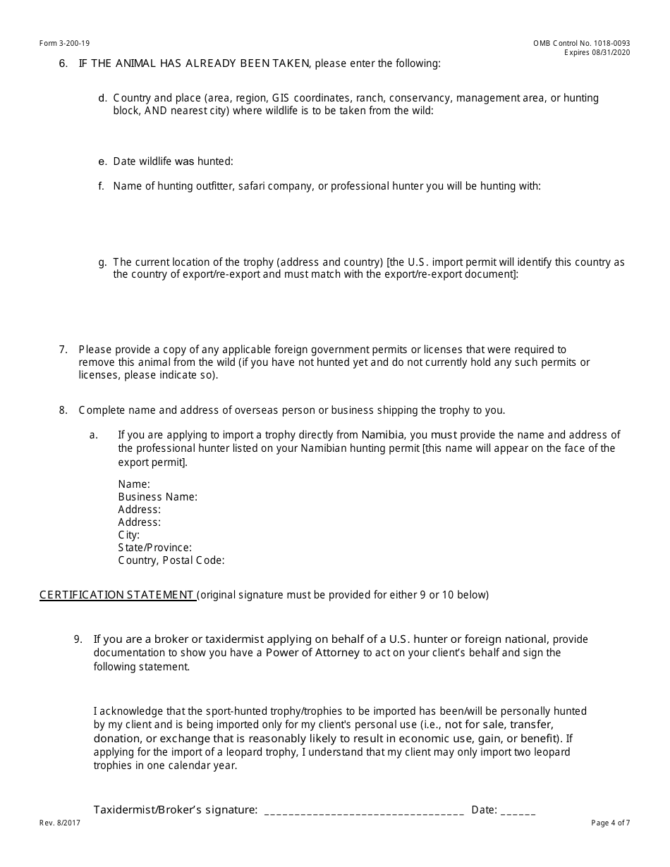
A: The form applies for the Import of Sport-Hunted Trophies of Southern African Leopard and Namibian Southern White Rhinoceros.

Q: What is the purpose of the form?
A: The form is used to apply for a permit to import sport-hunted trophies of Southern African Leopard and Namibian Southern White Rhinoceros.

Q: What animals are covered in this form?
A: This form covers the importation of sport-hunted trophies of Southern African Leopard and Namibian Southern White Rhinoceros.

Q: Who can apply for this permit?
A: Any individual who has legally hunted and obtained trophies of Southern African Leopard and Namibian Southern White Rhinoceros can apply for this permit.

Q: Are there any requirements to apply for this permit?
A: Yes, there are certain requirements for applying for this permit, including providing a copy of a hunting permit or license from the country of origin, a copy of the U.S. import/export wildlife declaration, and other supporting documents and fees.

Q: Can I import sport-hunted trophies without a permit?
A: No, a permit is required to legally import sport-hunted trophies of Southern African Leopard and Namibian Southern White Rhinoceros.

Q: What is the purpose of importing sport-hunted trophies?
A: Importing sport-hunted trophies helps support conservation efforts and wildlife management in Southern Africa and Namibia.

Q: Who regulates the import of sport-hunted trophies?
A: The import of sport-hunted trophies is regulated by the U.S. Fish and Wildlife Service.

ADVERTISEMENT

Form Details:

  • Released on August 1, 2017;
  • The latest available edition released by the U.S. Department of the Interior - Fish and Wildlife Service;
  • Easy to use and ready to print;
  • Yours to fill out and keep for your records;
  • Compatible with most PDF-viewing applications;
  • Fill out the form in our online filing application.

Download a fillable version of FWS Form 3-200-19 by clicking the link below or browse more documents and templates provided by the U.S. Department of the Interior - Fish and Wildlife Service.

Download FWS Form 3-200-19 Federal Fish and Wildlife Permit Application Form - Import of Sport-Hunted Trophies of Southern African Leopard and Namibian Southern White Rhinoceros

4.7 of 5 (92 votes)
  • FWS Form 3-200-19 Federal Fish and Wildlife Permit Application Form - Import of Sport-Hunted Trophies of Southern African Leopard and Namibian Southern White Rhinoceros

    1

  • FWS Form 3-200-19 Federal Fish and Wildlife Permit Application Form - Import of Sport-Hunted Trophies of Southern African Leopard and Namibian Southern White Rhinoceros, Page 2

    2

  • FWS Form 3-200-19 Federal Fish and Wildlife Permit Application Form - Import of Sport-Hunted Trophies of Southern African Leopard and Namibian Southern White Rhinoceros, Page 3

    3

  • FWS Form 3-200-19 Federal Fish and Wildlife Permit Application Form - Import of Sport-Hunted Trophies of Southern African Leopard and Namibian Southern White Rhinoceros, Page 4

    4

  • FWS Form 3-200-19 Federal Fish and Wildlife Permit Application Form - Import of Sport-Hunted Trophies of Southern African Leopard and Namibian Southern White Rhinoceros, Page 5

    5

  • FWS Form 3-200-19 Federal Fish and Wildlife Permit Application Form - Import of Sport-Hunted Trophies of Southern African Leopard and Namibian Southern White Rhinoceros, Page 6

    6

  • FWS Form 3-200-19 Federal Fish and Wildlife Permit Application Form - Import of Sport-Hunted Trophies of Southern African Leopard and Namibian Southern White Rhinoceros, Page 7

    7

  • FWS Form 3-200-19 Federal Fish and Wildlife Permit Application Form - Import of Sport-Hunted Trophies of Southern African Leopard and Namibian Southern White Rhinoceros, Page 1
  • FWS Form 3-200-19 Federal Fish and Wildlife Permit Application Form - Import of Sport-Hunted Trophies of Southern African Leopard and Namibian Southern White Rhinoceros, Page 2
  • FWS Form 3-200-19 Federal Fish and Wildlife Permit Application Form - Import of Sport-Hunted Trophies of Southern African Leopard and Namibian Southern White Rhinoceros, Page 3
  • FWS Form 3-200-19 Federal Fish and Wildlife Permit Application Form - Import of Sport-Hunted Trophies of Southern African Leopard and Namibian Southern White Rhinoceros, Page 4
  • FWS Form 3-200-19 Federal Fish and Wildlife Permit Application Form - Import of Sport-Hunted Trophies of Southern African Leopard and Namibian Southern White Rhinoceros, Page 5
  • FWS Form 3-200-19 Federal Fish and Wildlife Permit Application Form - Import of Sport-Hunted Trophies of Southern African Leopard and Namibian Southern White Rhinoceros, Page 6
  • FWS Form 3-200-19 Federal Fish and Wildlife Permit Application Form - Import of Sport-Hunted Trophies of Southern African Leopard and Namibian Southern White Rhinoceros, Page 7
Prev 1 2 3 4 5 ... 7 Next
ADVERTISEMENT

Related Documents