General Permit Application Packet - Boilers - Arizona

General Permit Application Packet - Boilers - Arizona

General Permit Application Packet - Boilers is a legal document that was released by the Arizona Department of Environmental Quality - a government authority operating within Arizona.

FAQ

Q: What is the General Permit Application Packet for Boilers?
A: The General Permit Application Packet for Boilers is a set of documents required to apply for a permit to operate boilers in Arizona.

Q: What documents are included in the General Permit Application Packet for Boilers?
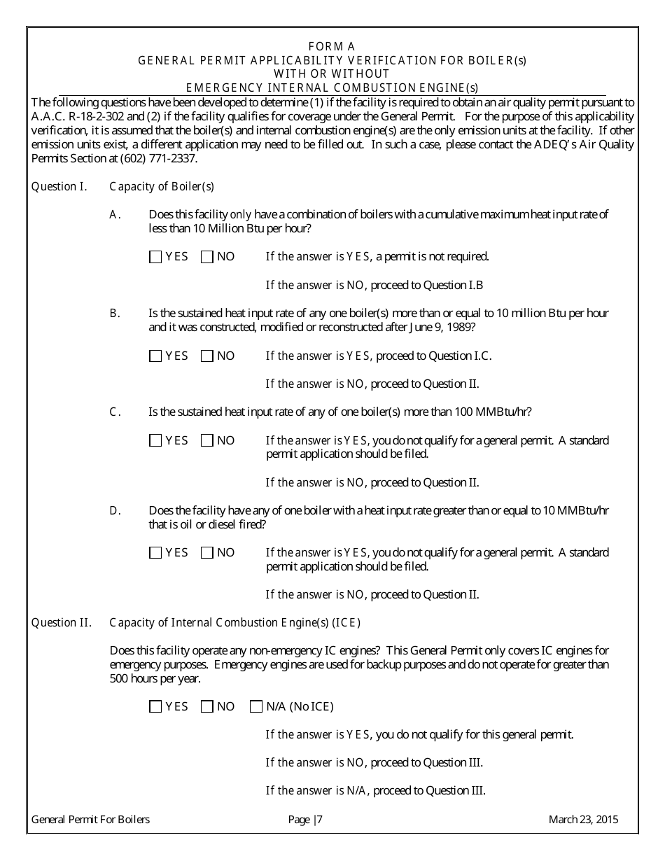
A: The General Permit Application Packet for Boilers typically includes a permit application form, emission inventory forms, compliance certification forms, and applicable fees.

Q: Do I need a permit to operate boilers in Arizona?
A: Yes, you need a permit to operate boilers in Arizona. The General Permit Application Packet is the required documentation to apply for this permit.

Q: How much does it cost to apply for a permit to operate boilers in Arizona?
A: The cost of applying for a permit to operate boilers in Arizona varies based on boiler type, size, and emissions. The applicable fees are typically included in the General Permit Application Packet.

Q: Are there any guidelines or requirements for operating boilers in Arizona?
A: Yes, there are guidelines and requirements for operating boilers in Arizona. These guidelines and requirements are outlined in the General Permit Application Packet and must be followed to ensure compliance with air quality regulations.

ADVERTISEMENT

Form Details:

  • Released on March 23, 2015;
  • The latest edition currently provided by the Arizona Department of Environmental Quality;
  • Ready to use and print;
  • Easy to customize;
  • Compatible with most PDF-viewing applications;
  • Fill out the form in our online filing application.

Download a printable version of the form by clicking the link below or browse more documents and templates provided by the Arizona Department of Environmental Quality.

Download General Permit Application Packet - Boilers - Arizona

4.8 of 5 (51 votes)
  • General Permit Application Packet - Boilers - Arizona

    1

  • General Permit Application Packet - Boilers - Arizona, Page 2

    2

  • General Permit Application Packet - Boilers - Arizona, Page 3

    3

  • General Permit Application Packet - Boilers - Arizona, Page 4

    4

  • General Permit Application Packet - Boilers - Arizona, Page 5

    5

  • General Permit Application Packet - Boilers - Arizona, Page 6

    6

  • General Permit Application Packet - Boilers - Arizona, Page 7

    7

  • General Permit Application Packet - Boilers - Arizona, Page 8

    8

  • General Permit Application Packet - Boilers - Arizona, Page 9

    9

  • General Permit Application Packet - Boilers - Arizona, Page 10

    10

  • General Permit Application Packet - Boilers - Arizona, Page 11

    11

  • General Permit Application Packet - Boilers - Arizona, Page 12

    12

  • General Permit Application Packet - Boilers - Arizona, Page 13

    13

  • General Permit Application Packet - Boilers - Arizona, Page 14

    14

  • General Permit Application Packet - Boilers - Arizona, Page 15

    15

  • General Permit Application Packet - Boilers - Arizona, Page 16

    16

  • General Permit Application Packet - Boilers - Arizona, Page 17

    17

  • General Permit Application Packet - Boilers - Arizona, Page 18

    18

  • General Permit Application Packet - Boilers - Arizona, Page 19

    19

  • General Permit Application Packet - Boilers - Arizona, Page 1
  • General Permit Application Packet - Boilers - Arizona, Page 2
  • General Permit Application Packet - Boilers - Arizona, Page 3
  • General Permit Application Packet - Boilers - Arizona, Page 4
  • General Permit Application Packet - Boilers - Arizona, Page 5
  • General Permit Application Packet - Boilers - Arizona, Page 6
  • General Permit Application Packet - Boilers - Arizona, Page 7
  • General Permit Application Packet - Boilers - Arizona, Page 8
  • General Permit Application Packet - Boilers - Arizona, Page 9
  • General Permit Application Packet - Boilers - Arizona, Page 10
  • General Permit Application Packet - Boilers - Arizona, Page 11
  • General Permit Application Packet - Boilers - Arizona, Page 12
  • General Permit Application Packet - Boilers - Arizona, Page 13
  • General Permit Application Packet - Boilers - Arizona, Page 14
  • General Permit Application Packet - Boilers - Arizona, Page 15
  • General Permit Application Packet - Boilers - Arizona, Page 16
  • General Permit Application Packet - Boilers - Arizona, Page 17
  • General Permit Application Packet - Boilers - Arizona, Page 18
  • General Permit Application Packet - Boilers - Arizona, Page 19
Prev 1 2 3 4 5 ... 19 Next
ADVERTISEMENT

Related Documents