Form DBO-310.106 Notice of a Transaction Exempt Under Corporations Code Section 31106 - California

Form DBO-310.106 Notice of a Transaction Exempt Under Corporations Code Section 31106 - California

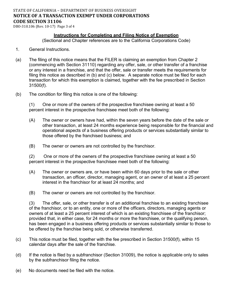
What Is Form DBO-310.106?

This is a legal form that was released by the California Department of Financial Protection and Innovation - a government authority operating within California. As of today, no separate filing guidelines for the form are provided by the issuing department.

FAQ

Q: What is Form DBO-310.106?
A: Form DBO-310.106 is a specific form used in California.

Q: What does Form DBO-310.106 signify?
A: Form DBO-310.106 is used to provide notice of a transaction that is exempt under Corporations Code Section 31106 in California.

Q: What is Corporations Code Section 31106?
A: Corporations Code Section 31106 is a specific section within the California Corporations Code that outlines exemptions for certain transactions.

Q: Who uses Form DBO-310.106?
A: Form DBO-310.106 is used by individuals or entities who need to notify the California Department of Business Oversight of a transaction that falls under the exemptions mentioned in Corporations Code Section 31106.

ADVERTISEMENT

Form Details:

  • Released on October 1, 2017;
  • The latest edition provided by the California Department of Financial Protection and Innovation;
  • Easy to use and ready to print;
  • Quick to customize;
  • Compatible with most PDF-viewing applications;
  • Fill out the form in our online filing application.

Download a fillable version of Form DBO-310.106 by clicking the link below or browse more documents and templates provided by the California Department of Financial Protection and Innovation.

Download Form DBO-310.106 Notice of a Transaction Exempt Under Corporations Code Section 31106 - California

4.3 of 5 (21 votes)
  • Form DBO-310.106 Notice of a Transaction Exempt Under Corporations Code Section 31106 - California

    1

  • Form DBO-310.106 Notice of a Transaction Exempt Under Corporations Code Section 31106 - California, Page 2

    2

  • Form DBO-310.106 Notice of a Transaction Exempt Under Corporations Code Section 31106 - California, Page 3

    3

  • Form DBO-310.106 Notice of a Transaction Exempt Under Corporations Code Section 31106 - California, Page 4

    4

  • Form DBO-310.106 Notice of a Transaction Exempt Under Corporations Code Section 31106 - California, Page 1
  • Form DBO-310.106 Notice of a Transaction Exempt Under Corporations Code Section 31106 - California, Page 2
  • Form DBO-310.106 Notice of a Transaction Exempt Under Corporations Code Section 31106 - California, Page 3
  • Form DBO-310.106 Notice of a Transaction Exempt Under Corporations Code Section 31106 - California, Page 4
Prev 1 2 3 4 Next
ADVERTISEMENT

Related Documents