Form DCF-2251 Community Housing Assistance Program (Chap) Contract - Connecticut

Form DCF-2251 Community Housing Assistance Program (Chap) Contract - Connecticut

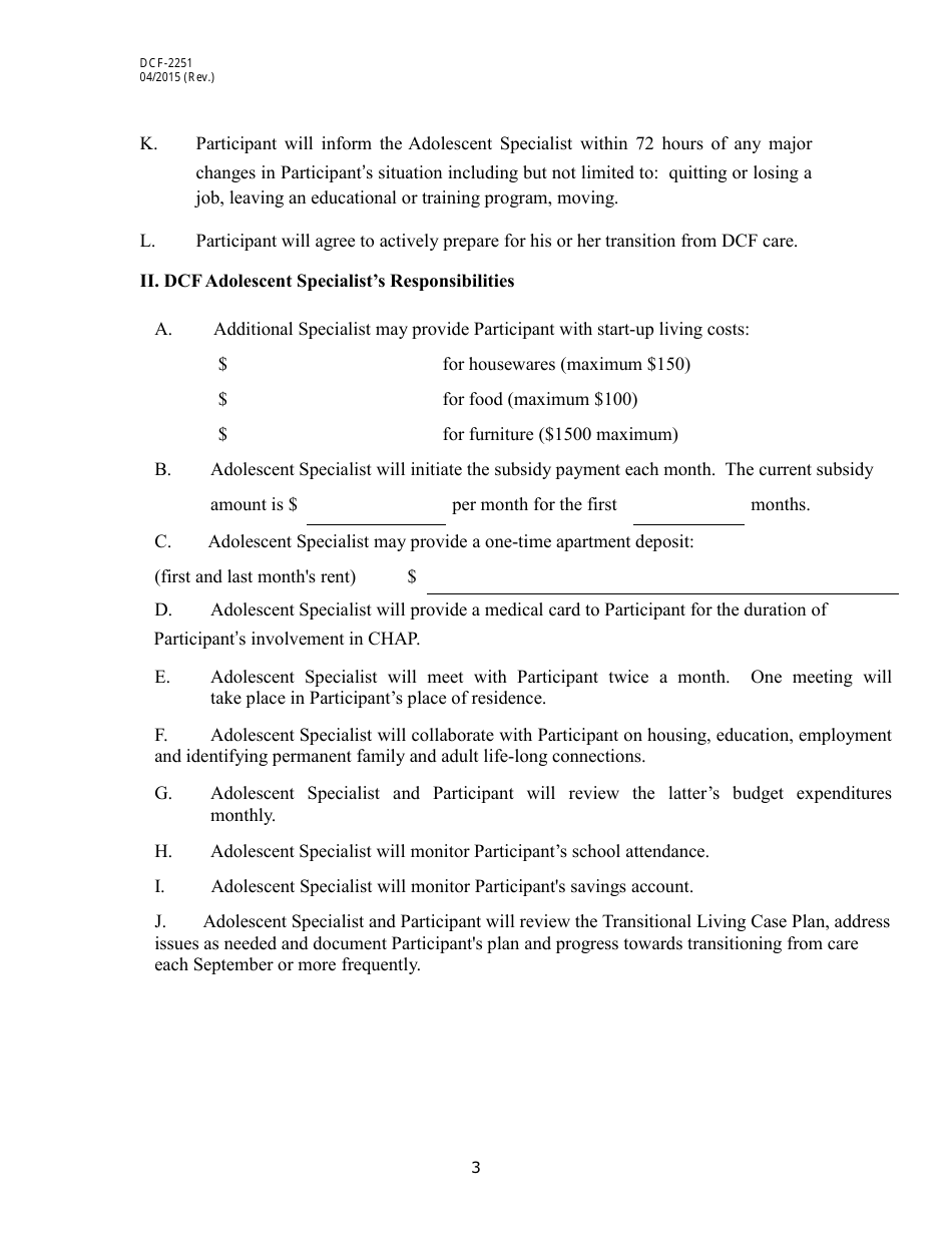
What Is Form DCF-2251?

This is a legal form that was released by the Connecticut State Department of Children and Families - a government authority operating within Connecticut. As of today, no separate filing guidelines for the form are provided by the issuing department.

FAQ

Q: What is the DCF-2251 form?
A: The DCF-2251 form is the Community Housing Assistance Program (CHAP) Contract for the state of Connecticut.

Q: What is the Community Housing Assistance Program?
A: The Community Housing Assistance Program (CHAP) is a program in Connecticut that provides assistance to low-income individuals and families in finding and maintaining affordable housing.

Q: Who is eligible for the CHAP program?
A: Eligibility for the CHAP program is based on income and household size. Generally, individuals and families with low incomes may qualify for assistance.

Q: What does the DCF-2251 form entail?
A: The DCF-2251 form is a contract that outlines the terms and conditions of the CHAP program. It includes information such as the amount of assistance, responsibilities of the participant, and program rules.

Q: What can the CHAP program help with?
A: The CHAP program can help with various housing-related expenses, including rent, security deposits, and utility costs.

Q: Is the CHAP program only for renters?
A: No, the CHAP program is not only for renters. It can also provide assistance to homeowners who meet the eligibility criteria.

Q: Are there any income limits for the CHAP program?
A: Yes, there are income limits for the CHAP program. The specific income limits may vary based on the size of the household.

Q: How long does CHAP assistance last?
A: The duration of CHAP assistance can vary depending on individual circumstances. It is typically provided on a temporary basis, but eligibility for ongoing assistance may be determined on a case-by-case basis.

ADVERTISEMENT

Form Details:

  • Released on April 1, 2015;
  • The latest edition provided by the Connecticut State Department of Children and Families;
  • Easy to use and ready to print;
  • Quick to customize;
  • Compatible with most PDF-viewing applications;
  • Fill out the form in our online filing application.

Download a printable version of Form DCF-2251 by clicking the link below or browse more documents and templates provided by the Connecticut State Department of Children and Families.

Download Form DCF-2251 Community Housing Assistance Program (Chap) Contract - Connecticut

4.4 of 5 (100 votes)
  • Form DCF-2251 Community Housing Assistance Program (Chap) Contract - Connecticut

    1

  • Form DCF-2251 Community Housing Assistance Program (Chap) Contract - Connecticut, Page 2

    2

  • Form DCF-2251 Community Housing Assistance Program (Chap) Contract - Connecticut, Page 3

    3

  • Form DCF-2251 Community Housing Assistance Program (Chap) Contract - Connecticut, Page 4

    4

  • Form DCF-2251 Community Housing Assistance Program (Chap) Contract - Connecticut, Page 5

    5

  • Form DCF-2251 Community Housing Assistance Program (Chap) Contract - Connecticut, Page 1
  • Form DCF-2251 Community Housing Assistance Program (Chap) Contract - Connecticut, Page 2
  • Form DCF-2251 Community Housing Assistance Program (Chap) Contract - Connecticut, Page 3
  • Form DCF-2251 Community Housing Assistance Program (Chap) Contract - Connecticut, Page 4
  • Form DCF-2251 Community Housing Assistance Program (Chap) Contract - Connecticut, Page 5
Prev 1 2 3 4 5 Next
ADVERTISEMENT

Related Documents