Form 12.903(E) Answer to Supplemental Petition - Florida

Form 12.903(E) Answer to Supplemental Petition - Florida

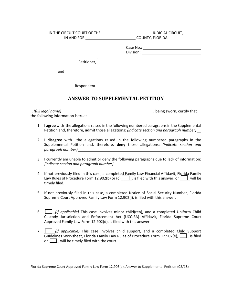
What Is Form 12.903(E)?

This is a legal form that was released by the Florida Courts - a government authority operating within Florida. As of today, no separate filing guidelines for the form are provided by the issuing department.

FAQ

Q: What is Form 12.903(E)?
A: Form 12.903(E) is the Answer to a Supplemental Petition in the state of Florida.

Q: What is a Supplemental Petition?
A: A Supplemental Petition is a legal document that asks the court to modify or change an existing court order.

Q: When do I need to file an Answer to a Supplemental Petition?
A: You need to file an Answer to a Supplemental Petition within a specific time frame set by the court, usually within 20 days of receiving the petition.

Q: What is the purpose of filing an Answer to a Supplemental Petition?
A: The purpose of filing an Answer is to respond to the allegations and requests made in the Supplemental Petition.

Q: What should be included in the Answer to a Supplemental Petition?
A: The Answer should include a response to each paragraph of the Supplemental Petition, admitting or denying the allegations, and any defenses or counterclaims you may have.

Q: What happens after I file the Answer to a Supplemental Petition?
A: After you file the Answer, the court will review the petition, the answer, and any other relevant documents, and may schedule a hearing if necessary.

Q: Do I need an attorney to complete Form 12.903(E)?
A: While it is not required, it is advisable to consult with an attorney to ensure your rights are protected and the form is completed correctly.

ADVERTISEMENT

Form Details:

  • Released on February 1, 2018;
  • The latest edition provided by the Florida Courts;
  • Easy to use and ready to print;
  • Quick to customize;
  • Compatible with most PDF-viewing applications;
  • Fill out the form in our online filing application.

Download a fillable version of Form 12.903(E) by clicking the link below or browse more documents and templates provided by the Florida Courts.

Download Form 12.903(E) Answer to Supplemental Petition - Florida

4.8 of 5 (49 votes)
  • Form 12.903(E) Answer to Supplemental Petition - Florida

    1

  • Form 12.903(E) Answer to Supplemental Petition - Florida, Page 2

    2

  • Form 12.903(E) Answer to Supplemental Petition - Florida, Page 3

    3

  • Form 12.903(E) Answer to Supplemental Petition - Florida, Page 4

    4

  • Form 12.903(E) Answer to Supplemental Petition - Florida, Page 5

    5

  • Form 12.903(E) Answer to Supplemental Petition - Florida, Page 6

    6

  • Form 12.903(E) Answer to Supplemental Petition - Florida, Page 7

    7

  • Form 12.903(E) Answer to Supplemental Petition - Florida, Page 1
  • Form 12.903(E) Answer to Supplemental Petition - Florida, Page 2
  • Form 12.903(E) Answer to Supplemental Petition - Florida, Page 3
  • Form 12.903(E) Answer to Supplemental Petition - Florida, Page 4
  • Form 12.903(E) Answer to Supplemental Petition - Florida, Page 5
  • Form 12.903(E) Answer to Supplemental Petition - Florida, Page 6
  • Form 12.903(E) Answer to Supplemental Petition - Florida, Page 7
Prev 1 2 3 4 5 ... 7 Next
ADVERTISEMENT

Related Documents