Form 12.903(B) Answer to Petition for Dissolution of Marriage - Florida

Form 12.903(B) Answer to Petition for Dissolution of Marriage - Florida

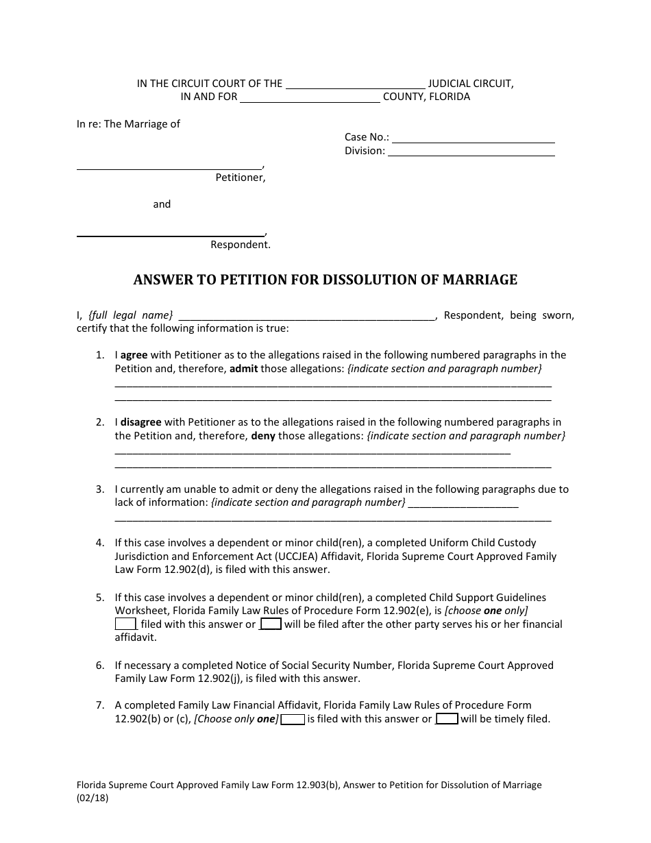
What Is Form 12.903(B)?

This is a legal form that was released by the Florida Courts - a government authority operating within Florida. As of today, no separate filing guidelines for the form are provided by the issuing department.

FAQ

Q: What is Form 12.903(B)?
A: Form 12.903(B) is the Answer to Petition for Dissolution of Marriage in Florida.

Q: What is the purpose of Form 12.903(B)?
A: The purpose of Form 12.903(B) is for the respondent to answer the petition for dissolution of marriage filed by the petitioner.

Q: Who uses Form 12.903(B)?
A: The respondent, who is the person being sued for dissolution of marriage, uses Form 12.903(B) to respond to the petition.

Q: What information does Form 12.903(B) require?
A: Form 12.903(B) requires the respondent to provide their name, address, and other identifying information, as well as respond to the allegations made in the petition.

Q: Is Form 12.903(B) specific to Florida?
A: Yes, Form 12.903(B) is specific to Florida and is used in dissolution of marriage cases in the state.

Q: Do I need legal assistance to fill out Form 12.903(B)?
A: It is recommended to seek legal assistance when filling out Form 12.903(B) to ensure that your rights and interests are protected.

Q: What should I do after filling out Form 12.903(B)?
A: After filling out Form 12.903(B), you should file it with the clerk of the court and serve a copy on the petitioner or their attorney.

Q: Can I make changes to my answers in Form 12.903(B) later?
A: You may be able to make changes to your answers in Form 12.903(B) later, but it is best to consult with an attorney for guidance.

Q: What are the consequences of not filing an answer using Form 12.903(B)?
A: If you fail to file an answer using Form 12.903(B), the court may enter a default judgment against you, which can have serious legal consequences.

ADVERTISEMENT

Form Details:

  • Released on February 1, 2018;
  • The latest edition provided by the Florida Courts;
  • Easy to use and ready to print;
  • Quick to customize;
  • Compatible with most PDF-viewing applications;
  • Fill out the form in our online filing application.

Download a fillable version of Form 12.903(B) by clicking the link below or browse more documents and templates provided by the Florida Courts.

Download Form 12.903(B) Answer to Petition for Dissolution of Marriage - Florida

4.6 of 5 (68 votes)
  • Form 12.903(B) Answer to Petition for Dissolution of Marriage - Florida

    1

  • Form 12.903(B) Answer to Petition for Dissolution of Marriage - Florida, Page 2

    2

  • Form 12.903(B) Answer to Petition for Dissolution of Marriage - Florida, Page 3

    3

  • Form 12.903(B) Answer to Petition for Dissolution of Marriage - Florida, Page 4

    4

  • Form 12.903(B) Answer to Petition for Dissolution of Marriage - Florida, Page 5

    5

  • Form 12.903(B) Answer to Petition for Dissolution of Marriage - Florida, Page 6

    6

  • Form 12.903(B) Answer to Petition for Dissolution of Marriage - Florida, Page 7

    7

  • Form 12.903(B) Answer to Petition for Dissolution of Marriage - Florida, Page 1
  • Form 12.903(B) Answer to Petition for Dissolution of Marriage - Florida, Page 2
  • Form 12.903(B) Answer to Petition for Dissolution of Marriage - Florida, Page 3
  • Form 12.903(B) Answer to Petition for Dissolution of Marriage - Florida, Page 4
  • Form 12.903(B) Answer to Petition for Dissolution of Marriage - Florida, Page 5
  • Form 12.903(B) Answer to Petition for Dissolution of Marriage - Florida, Page 6
  • Form 12.903(B) Answer to Petition for Dissolution of Marriage - Florida, Page 7
Prev 1 2 3 4 5 ... 7 Next
ADVERTISEMENT

Related Documents