Family Law Form 12.990(C)(1) Final Judgment of Dissolution of Marriage With Dependent or Minor Child(Ren) - Florida

Family Law Form 12.990(C)(1) Final Judgment of Dissolution of Marriage With Dependent or Minor Child(Ren) - Florida

What Is Family Law Form 12.990(C)(1)?

This is a legal form that was released by the Florida Circuit Court - a government authority operating within Florida. As of today, no separate filing guidelines for the form are provided by the issuing department.

FAQ

Q: What is Form 12.990(C)(1)?
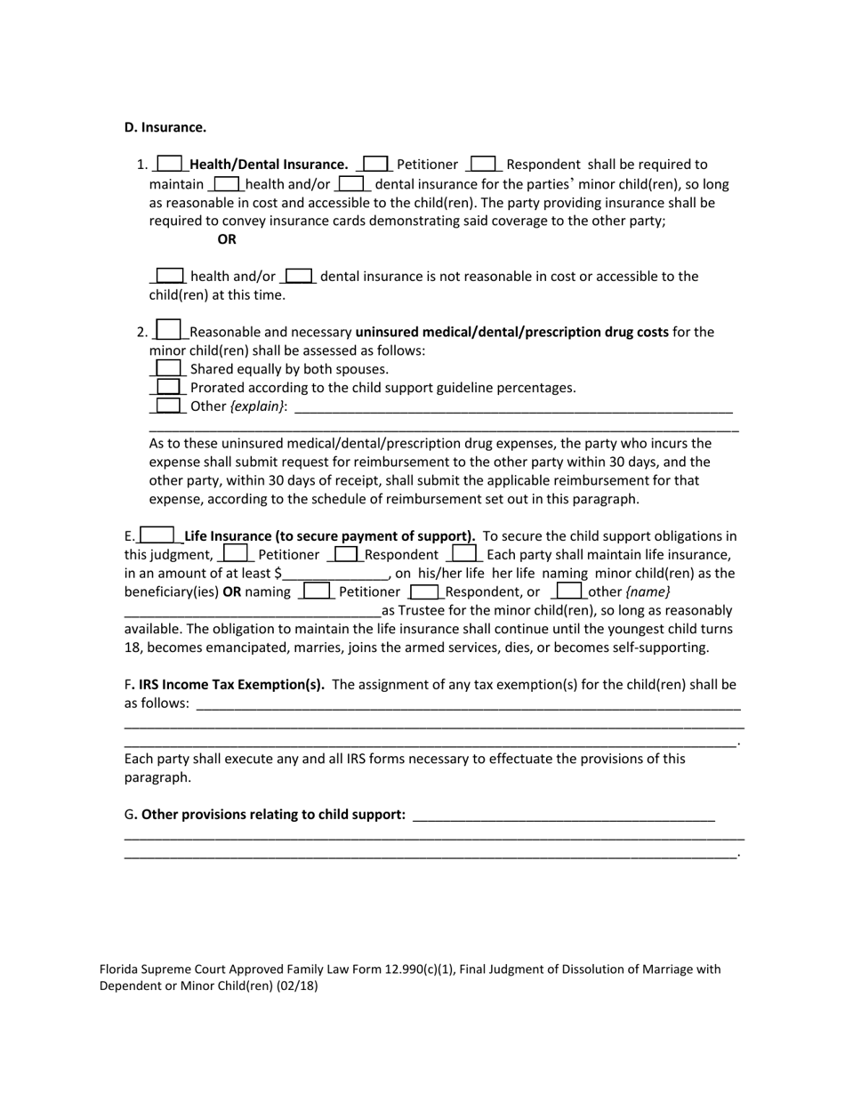
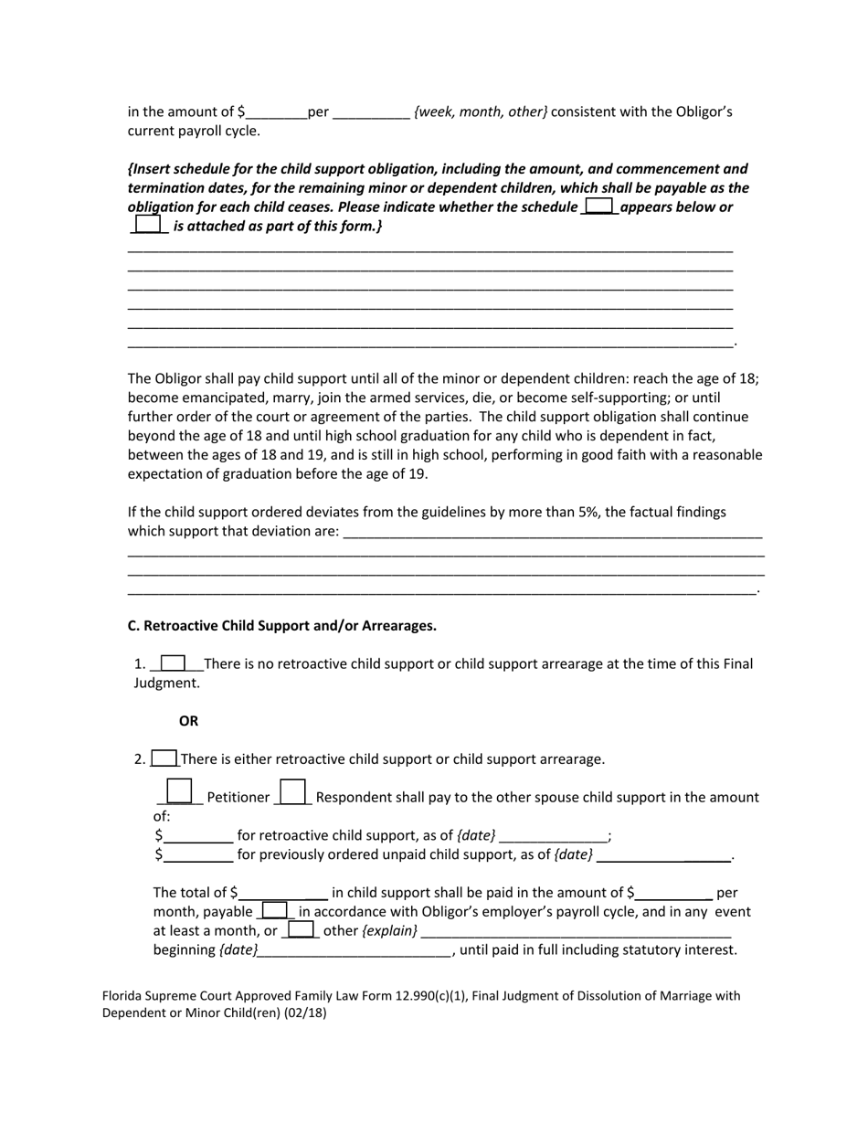
A: Form 12.990(C)(1) is a legal document in Florida used for final judgments of dissolution of marriage with dependent or minor child(ren).

Q: What does this form do?
A: This form is used to finalize the divorce and address issues related to child custody, child support, and visitation.

Q: Who can use Form 12.990(C)(1)?
A: This form can be used by couples in Florida who are seeking a divorce and have dependent or minor child(ren).

Q: Do I need a lawyer to fill out this form?
A: While it is not required to have a lawyer, seeking legal advice is recommended to ensure the best outcome and protection of your rights.

Q: What information is required in this form?
A: The form requires information about the parties involved, details about child custody and support, and any other relevant information.

Q: Do I need to file this form with the court?
A: Yes, after completing the form, it must be filed with the appropriate court in Florida.

Q: Is this form specific to Florida?
A: Yes, this form is specific to Florida and should be used for dissolution of marriage cases in the state.

Q: Are there any fees associated with filing this form?
A: Yes, there may be filing fees associated with submitting this form to the court. The amount can vary depending on the county.

ADVERTISEMENT

Form Details:

  • Released on February 1, 2018;
  • The latest edition provided by the Florida Circuit Court;
  • Easy to use and ready to print;
  • Quick to customize;
  • Compatible with most PDF-viewing applications;
  • Fill out the form in our online filing application.

Download a fillable version of Family Law Form 12.990(C)(1) by clicking the link below or browse more documents and templates provided by the Florida Circuit Court.

Download Family Law Form 12.990(C)(1) Final Judgment of Dissolution of Marriage With Dependent or Minor Child(Ren) - Florida

4.4 of 5 (9 votes)
  • Family Law Form 12.990(C)(1) Final Judgment of Dissolution of Marriage With Dependent or Minor Child(Ren) - Florida

    1

  • Family Law Form 12.990(C)(1) Final Judgment of Dissolution of Marriage With Dependent or Minor Child(Ren) - Florida, Page 2

    2

  • Family Law Form 12.990(C)(1) Final Judgment of Dissolution of Marriage With Dependent or Minor Child(Ren) - Florida, Page 3

    3

  • Family Law Form 12.990(C)(1) Final Judgment of Dissolution of Marriage With Dependent or Minor Child(Ren) - Florida, Page 4

    4

  • Family Law Form 12.990(C)(1) Final Judgment of Dissolution of Marriage With Dependent or Minor Child(Ren) - Florida, Page 5

    5

  • Family Law Form 12.990(C)(1) Final Judgment of Dissolution of Marriage With Dependent or Minor Child(Ren) - Florida, Page 6

    6

  • Family Law Form 12.990(C)(1) Final Judgment of Dissolution of Marriage With Dependent or Minor Child(Ren) - Florida, Page 7

    7

  • Family Law Form 12.990(C)(1) Final Judgment of Dissolution of Marriage With Dependent or Minor Child(Ren) - Florida, Page 8

    8

  • Family Law Form 12.990(C)(1) Final Judgment of Dissolution of Marriage With Dependent or Minor Child(Ren) - Florida, Page 9

    9

  • Family Law Form 12.990(C)(1) Final Judgment of Dissolution of Marriage With Dependent or Minor Child(Ren) - Florida, Page 10

    10

  • Family Law Form 12.990(C)(1) Final Judgment of Dissolution of Marriage With Dependent or Minor Child(Ren) - Florida, Page 11

    11

  • Family Law Form 12.990(C)(1) Final Judgment of Dissolution of Marriage With Dependent or Minor Child(Ren) - Florida, Page 12

    12

  • Family Law Form 12.990(C)(1) Final Judgment of Dissolution of Marriage With Dependent or Minor Child(Ren) - Florida, Page 13

    13

  • Family Law Form 12.990(C)(1) Final Judgment of Dissolution of Marriage With Dependent or Minor Child(Ren) - Florida, Page 14

    14

  • Family Law Form 12.990(C)(1) Final Judgment of Dissolution of Marriage With Dependent or Minor Child(Ren) - Florida, Page 15

    15

  • Family Law Form 12.990(C)(1) Final Judgment of Dissolution of Marriage With Dependent or Minor Child(Ren) - Florida, Page 1
  • Family Law Form 12.990(C)(1) Final Judgment of Dissolution of Marriage With Dependent or Minor Child(Ren) - Florida, Page 2
  • Family Law Form 12.990(C)(1) Final Judgment of Dissolution of Marriage With Dependent or Minor Child(Ren) - Florida, Page 3
  • Family Law Form 12.990(C)(1) Final Judgment of Dissolution of Marriage With Dependent or Minor Child(Ren) - Florida, Page 4
  • Family Law Form 12.990(C)(1) Final Judgment of Dissolution of Marriage With Dependent or Minor Child(Ren) - Florida, Page 5
  • Family Law Form 12.990(C)(1) Final Judgment of Dissolution of Marriage With Dependent or Minor Child(Ren) - Florida, Page 6
  • Family Law Form 12.990(C)(1) Final Judgment of Dissolution of Marriage With Dependent or Minor Child(Ren) - Florida, Page 7
  • Family Law Form 12.990(C)(1) Final Judgment of Dissolution of Marriage With Dependent or Minor Child(Ren) - Florida, Page 8
  • Family Law Form 12.990(C)(1) Final Judgment of Dissolution of Marriage With Dependent or Minor Child(Ren) - Florida, Page 9
  • Family Law Form 12.990(C)(1) Final Judgment of Dissolution of Marriage With Dependent or Minor Child(Ren) - Florida, Page 10
  • Family Law Form 12.990(C)(1) Final Judgment of Dissolution of Marriage With Dependent or Minor Child(Ren) - Florida, Page 11
  • Family Law Form 12.990(C)(1) Final Judgment of Dissolution of Marriage With Dependent or Minor Child(Ren) - Florida, Page 12
  • Family Law Form 12.990(C)(1) Final Judgment of Dissolution of Marriage With Dependent or Minor Child(Ren) - Florida, Page 13
  • Family Law Form 12.990(C)(1) Final Judgment of Dissolution of Marriage With Dependent or Minor Child(Ren) - Florida, Page 14
  • Family Law Form 12.990(C)(1) Final Judgment of Dissolution of Marriage With Dependent or Minor Child(Ren) - Florida, Page 15
Prev 1 2 3 4 5 ... 15 Next
ADVERTISEMENT

Related Documents