Family Law Form 12.947(B) Temporary Order of Support, Time-Sharing, and Other Relief With Dependent or Minor Child(Ren) - Florida

Family Law Form 12.947(B) Temporary Order of Support, Time-Sharing, and Other Relief With Dependent or Minor Child(Ren) - Florida

What Is Family Law Form 12.947(B)?

This is a legal form that was released by the Florida Circuit Court - a government authority operating within Florida. As of today, no separate filing guidelines for the form are provided by the issuing department.

FAQ

Q: What is Family Law Form 12.947(B)?
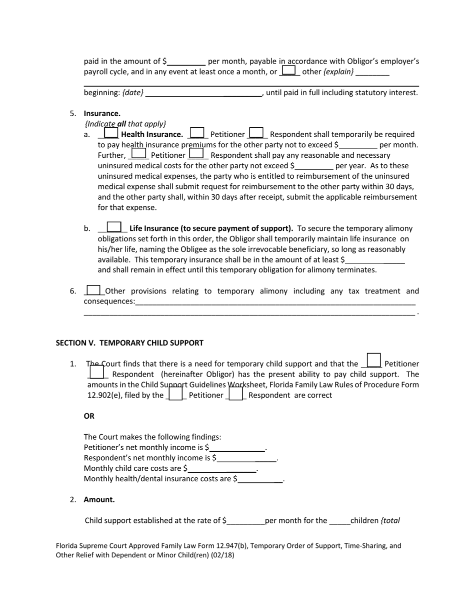
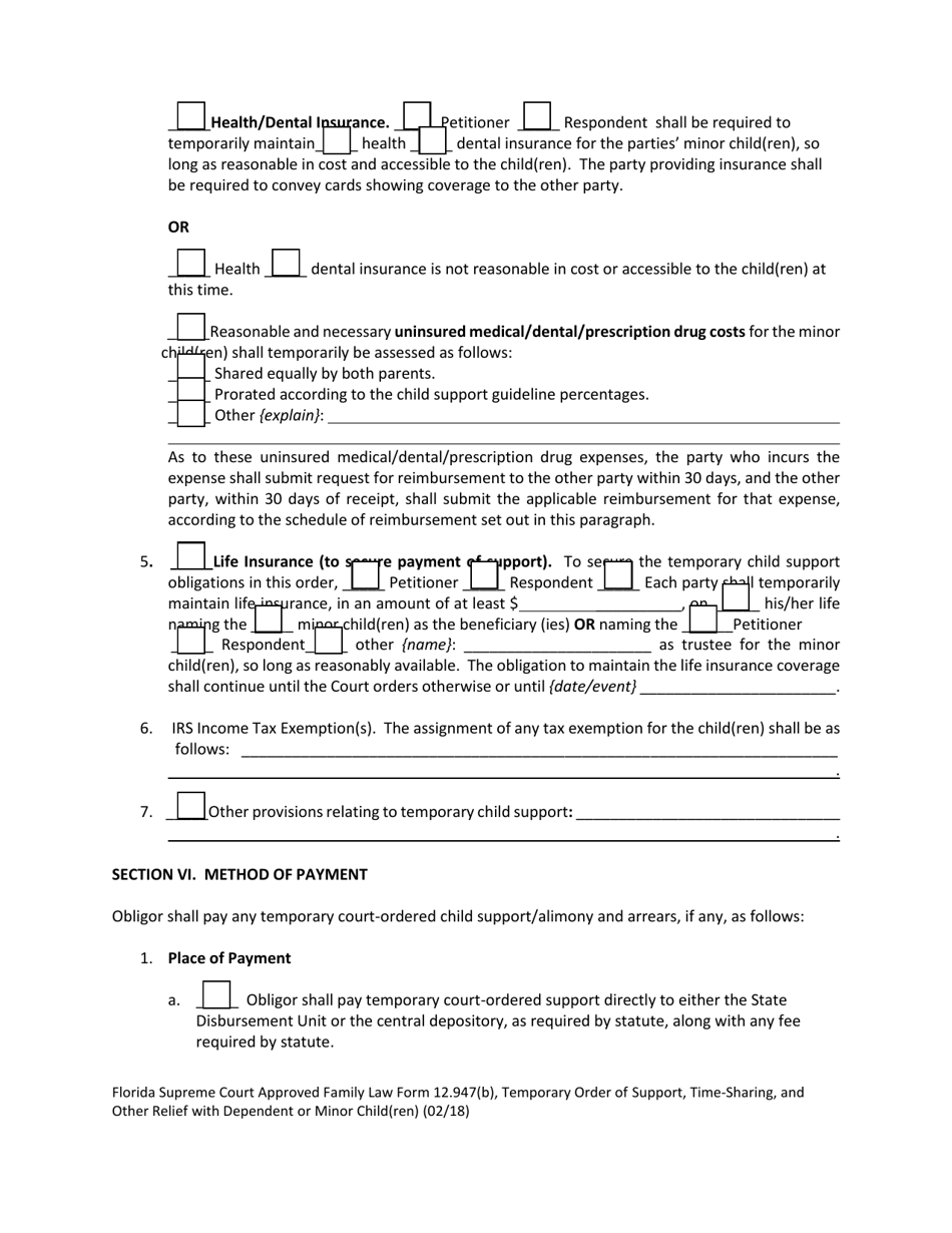
A: Family Law Form 12.947(B) is a legal document in Florida that is used to request a temporary order of support, time-sharing, and other relief when there are dependent or minor child(ren) involved.

Q: What does the temporary order of support include?
A: The temporary order of support includes provisions for financial support such as child support and alimony during the divorce or separation process.

Q: What does the temporary order of time-sharing include?
A: The temporary order of time-sharing includes provisions for parenting time and visitation with the minor child(ren) during the divorce or separation process.

Q: Who can use Family Law Form 12.947(B)?
A: Family Law Form 12.947(B) can be used by individuals in Florida who have dependent or minor child(ren) and are seeking temporary support, time-sharing, and other relief during divorce or separation.

Q: What kind of relief can be requested using this form?
A: This form can be used to request various types of relief, including child support, alimony, visitation rights, and any other necessary relief related to the well-being of the dependent or minor child(ren).

ADVERTISEMENT

Form Details:

  • Released on February 1, 2018;
  • The latest edition provided by the Florida Circuit Court;
  • Easy to use and ready to print;
  • Quick to customize;
  • Compatible with most PDF-viewing applications;
  • Fill out the form in our online filing application.

Download a fillable version of Family Law Form 12.947(B) by clicking the link below or browse more documents and templates provided by the Florida Circuit Court.

Download Family Law Form 12.947(B) Temporary Order of Support, Time-Sharing, and Other Relief With Dependent or Minor Child(Ren) - Florida

4.7 of 5 (22 votes)
  • Family Law Form 12.947(B) Temporary Order of Support, Time-Sharing, and Other Relief With Dependent or Minor Child(Ren) - Florida

    1

  • Family Law Form 12.947(B) Temporary Order of Support, Time-Sharing, and Other Relief With Dependent or Minor Child(Ren) - Florida, Page 2

    2

  • Family Law Form 12.947(B) Temporary Order of Support, Time-Sharing, and Other Relief With Dependent or Minor Child(Ren) - Florida, Page 3

    3

  • Family Law Form 12.947(B) Temporary Order of Support, Time-Sharing, and Other Relief With Dependent or Minor Child(Ren) - Florida, Page 4

    4

  • Family Law Form 12.947(B) Temporary Order of Support, Time-Sharing, and Other Relief With Dependent or Minor Child(Ren) - Florida, Page 5

    5

  • Family Law Form 12.947(B) Temporary Order of Support, Time-Sharing, and Other Relief With Dependent or Minor Child(Ren) - Florida, Page 6

    6

  • Family Law Form 12.947(B) Temporary Order of Support, Time-Sharing, and Other Relief With Dependent or Minor Child(Ren) - Florida, Page 7

    7

  • Family Law Form 12.947(B) Temporary Order of Support, Time-Sharing, and Other Relief With Dependent or Minor Child(Ren) - Florida, Page 8

    8

  • Family Law Form 12.947(B) Temporary Order of Support, Time-Sharing, and Other Relief With Dependent or Minor Child(Ren) - Florida, Page 9

    9

  • Family Law Form 12.947(B) Temporary Order of Support, Time-Sharing, and Other Relief With Dependent or Minor Child(Ren) - Florida, Page 10

    10

  • Family Law Form 12.947(B) Temporary Order of Support, Time-Sharing, and Other Relief With Dependent or Minor Child(Ren) - Florida, Page 11

    11

  • Family Law Form 12.947(B) Temporary Order of Support, Time-Sharing, and Other Relief With Dependent or Minor Child(Ren) - Florida, Page 12

    12

  • Family Law Form 12.947(B) Temporary Order of Support, Time-Sharing, and Other Relief With Dependent or Minor Child(Ren) - Florida, Page 13

    13

  • Family Law Form 12.947(B) Temporary Order of Support, Time-Sharing, and Other Relief With Dependent or Minor Child(Ren) - Florida, Page 1
  • Family Law Form 12.947(B) Temporary Order of Support, Time-Sharing, and Other Relief With Dependent or Minor Child(Ren) - Florida, Page 2
  • Family Law Form 12.947(B) Temporary Order of Support, Time-Sharing, and Other Relief With Dependent or Minor Child(Ren) - Florida, Page 3
  • Family Law Form 12.947(B) Temporary Order of Support, Time-Sharing, and Other Relief With Dependent or Minor Child(Ren) - Florida, Page 4
  • Family Law Form 12.947(B) Temporary Order of Support, Time-Sharing, and Other Relief With Dependent or Minor Child(Ren) - Florida, Page 5
  • Family Law Form 12.947(B) Temporary Order of Support, Time-Sharing, and Other Relief With Dependent or Minor Child(Ren) - Florida, Page 6
  • Family Law Form 12.947(B) Temporary Order of Support, Time-Sharing, and Other Relief With Dependent or Minor Child(Ren) - Florida, Page 7
  • Family Law Form 12.947(B) Temporary Order of Support, Time-Sharing, and Other Relief With Dependent or Minor Child(Ren) - Florida, Page 8
  • Family Law Form 12.947(B) Temporary Order of Support, Time-Sharing, and Other Relief With Dependent or Minor Child(Ren) - Florida, Page 9
  • Family Law Form 12.947(B) Temporary Order of Support, Time-Sharing, and Other Relief With Dependent or Minor Child(Ren) - Florida, Page 10
  • Family Law Form 12.947(B) Temporary Order of Support, Time-Sharing, and Other Relief With Dependent or Minor Child(Ren) - Florida, Page 11
  • Family Law Form 12.947(B) Temporary Order of Support, Time-Sharing, and Other Relief With Dependent or Minor Child(Ren) - Florida, Page 12
  • Family Law Form 12.947(B) Temporary Order of Support, Time-Sharing, and Other Relief With Dependent or Minor Child(Ren) - Florida, Page 13
Prev 1 2 3 4 5 ... 13 Next
ADVERTISEMENT

Related Documents