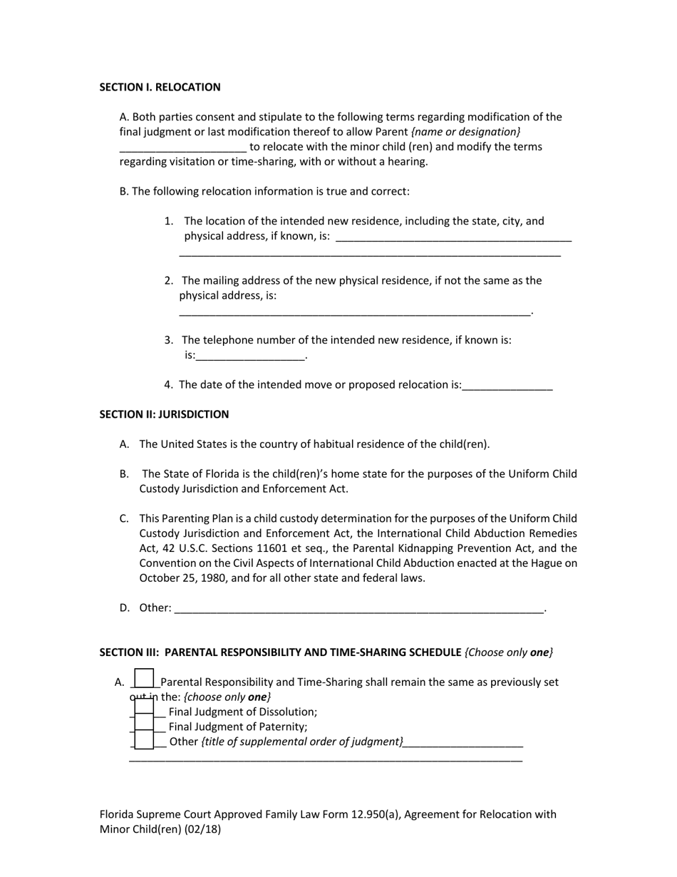
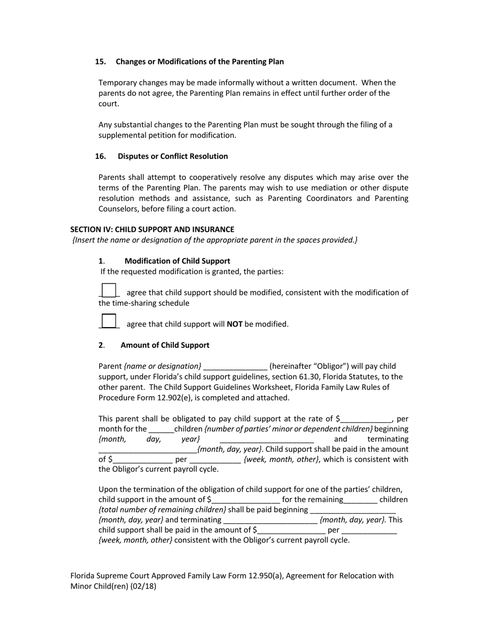
Family Law Form 12.950(A) Agreement for Relocation With Minor Child(Ren) - Florida

Family Law Form 12.950(A) Agreement for Relocation With Minor Child(Ren) - Florida

What Is Family Law Form 12.950(A)?

This is a legal form that was released by the Florida Circuit Court - a government authority operating within Florida. As of today, no separate filing guidelines for the form are provided by the issuing department.

FAQ

Q: What is Family Law Form 12.950(A)?
A: Family Law Form 12.950(A) is a legal document used in Florida for an Agreement for Relocation with Minor Child(ren).

Q: What is the purpose of Family Law Form 12.950(A)?
A: The purpose of Family Law Form 12.950(A) is to establish an agreement between parents regarding the relocation of a minor child or children.

Q: What is the significance of using this form?
A: Using Family Law Form 12.950(A) ensures that both parents are aware of and agree upon the terms and conditions of the child's relocation.

Q: When is this form used?
A: This form is used when one parent wishes to relocate with a minor child(ren) and seeks permission from the other parent or the court.

Q: Who can use this form?
A: This form can be used by parents who have legal custody or decision-making authority for their minor child or children.

Q: What information is typically included in this form?
A: Family Law Form 12.950(A) includes information about the relocating parent, the non-relocating parent, the child(ren), the proposed relocation details, and the agreed-upon visitation schedule.

Q: Are there any legal requirements to use this form?
A: While there are no specific legal requirements to use this form, it is advisable to consult with an attorney to ensure compliance with all relevant laws and regulations.

Q: Do both parents have to sign this form?
A: Ideally, both parents should sign Family Law Form 12.950(A) to demonstrate their agreement and consent to the proposed relocation.

Q: Is this form mandatory in Florida?
A: Family Law Form 12.950(A) is not mandatory, but using it can help facilitate the relocation process and avoid potential disputes or legal complications.

ADVERTISEMENT

Form Details:

  • Released on February 1, 2018;
  • The latest edition provided by the Florida Circuit Court;
  • Easy to use and ready to print;
  • Quick to customize;
  • Compatible with most PDF-viewing applications;
  • Fill out the form in our online filing application.

Download a fillable version of Family Law Form 12.950(A) by clicking the link below or browse more documents and templates provided by the Florida Circuit Court.

Download Family Law Form 12.950(A) Agreement for Relocation With Minor Child(Ren) - Florida

4.7 of 5 (9 votes)
  • Family Law Form 12.950(A) Agreement for Relocation With Minor Child(Ren) - Florida

    1

  • Family Law Form 12.950(A) Agreement for Relocation With Minor Child(Ren) - Florida, Page 2

    2

  • Family Law Form 12.950(A) Agreement for Relocation With Minor Child(Ren) - Florida, Page 3

    3

  • Family Law Form 12.950(A) Agreement for Relocation With Minor Child(Ren) - Florida, Page 4

    4

  • Family Law Form 12.950(A) Agreement for Relocation With Minor Child(Ren) - Florida, Page 5

    5

  • Family Law Form 12.950(A) Agreement for Relocation With Minor Child(Ren) - Florida, Page 6

    6

  • Family Law Form 12.950(A) Agreement for Relocation With Minor Child(Ren) - Florida, Page 7

    7

  • Family Law Form 12.950(A) Agreement for Relocation With Minor Child(Ren) - Florida, Page 8

    8

  • Family Law Form 12.950(A) Agreement for Relocation With Minor Child(Ren) - Florida, Page 9

    9

  • Family Law Form 12.950(A) Agreement for Relocation With Minor Child(Ren) - Florida, Page 10

    10

  • Family Law Form 12.950(A) Agreement for Relocation With Minor Child(Ren) - Florida, Page 11

    11

  • Family Law Form 12.950(A) Agreement for Relocation With Minor Child(Ren) - Florida, Page 12

    12

  • Family Law Form 12.950(A) Agreement for Relocation With Minor Child(Ren) - Florida, Page 13

    13

  • Family Law Form 12.950(A) Agreement for Relocation With Minor Child(Ren) - Florida, Page 14

    14

  • Family Law Form 12.950(A) Agreement for Relocation With Minor Child(Ren) - Florida, Page 15

    15

  • Family Law Form 12.950(A) Agreement for Relocation With Minor Child(Ren) - Florida, Page 16

    16

  • Family Law Form 12.950(A) Agreement for Relocation With Minor Child(Ren) - Florida, Page 17

    17

  • Family Law Form 12.950(A) Agreement for Relocation With Minor Child(Ren) - Florida, Page 18

    18

  • Family Law Form 12.950(A) Agreement for Relocation With Minor Child(Ren) - Florida, Page 19

    19

  • Family Law Form 12.950(A) Agreement for Relocation With Minor Child(Ren) - Florida, Page 20

    20

  • Family Law Form 12.950(A) Agreement for Relocation With Minor Child(Ren) - Florida, Page 21

    21

  • Family Law Form 12.950(A) Agreement for Relocation With Minor Child(Ren) - Florida, Page 22

    22

  • Family Law Form 12.950(A) Agreement for Relocation With Minor Child(Ren) - Florida, Page 1
  • Family Law Form 12.950(A) Agreement for Relocation With Minor Child(Ren) - Florida, Page 2
  • Family Law Form 12.950(A) Agreement for Relocation With Minor Child(Ren) - Florida, Page 3
  • Family Law Form 12.950(A) Agreement for Relocation With Minor Child(Ren) - Florida, Page 4
  • Family Law Form 12.950(A) Agreement for Relocation With Minor Child(Ren) - Florida, Page 5
  • Family Law Form 12.950(A) Agreement for Relocation With Minor Child(Ren) - Florida, Page 6
  • Family Law Form 12.950(A) Agreement for Relocation With Minor Child(Ren) - Florida, Page 7
  • Family Law Form 12.950(A) Agreement for Relocation With Minor Child(Ren) - Florida, Page 8
  • Family Law Form 12.950(A) Agreement for Relocation With Minor Child(Ren) - Florida, Page 9
  • Family Law Form 12.950(A) Agreement for Relocation With Minor Child(Ren) - Florida, Page 10
  • Family Law Form 12.950(A) Agreement for Relocation With Minor Child(Ren) - Florida, Page 11
  • Family Law Form 12.950(A) Agreement for Relocation With Minor Child(Ren) - Florida, Page 12
  • Family Law Form 12.950(A) Agreement for Relocation With Minor Child(Ren) - Florida, Page 13
  • Family Law Form 12.950(A) Agreement for Relocation With Minor Child(Ren) - Florida, Page 14
  • Family Law Form 12.950(A) Agreement for Relocation With Minor Child(Ren) - Florida, Page 15
  • Family Law Form 12.950(A) Agreement for Relocation With Minor Child(Ren) - Florida, Page 16
  • Family Law Form 12.950(A) Agreement for Relocation With Minor Child(Ren) - Florida, Page 17
  • Family Law Form 12.950(A) Agreement for Relocation With Minor Child(Ren) - Florida, Page 18
  • Family Law Form 12.950(A) Agreement for Relocation With Minor Child(Ren) - Florida, Page 19
  • Family Law Form 12.950(A) Agreement for Relocation With Minor Child(Ren) - Florida, Page 20
  • Family Law Form 12.950(A) Agreement for Relocation With Minor Child(Ren) - Florida, Page 21
  • Family Law Form 12.950(A) Agreement for Relocation With Minor Child(Ren) - Florida, Page 22
Prev 1 2 3 4 5 ... 22 Next
ADVERTISEMENT

Related Documents