Form 12.980(S) Final Judgment of Injunction for Protection Against Sexual Violence (After Notice) - Florida

Form 12.980(S) Final Judgment of Injunction for Protection Against Sexual Violence (After Notice) - Florida

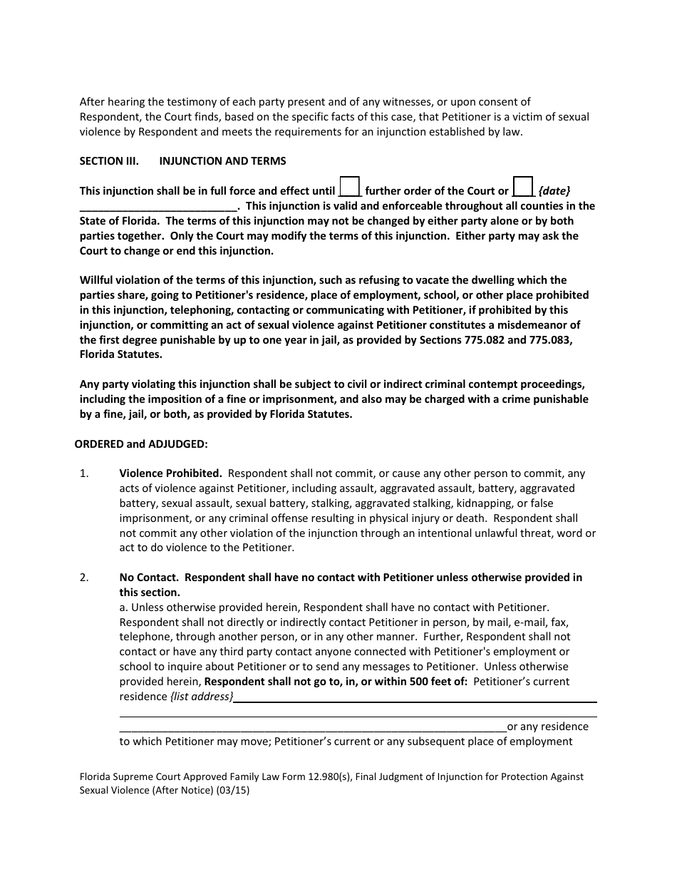
What Is Form 12.980(S)?

This is a legal form that was released by the Florida Circuit Court - a government authority operating within Florida. As of today, no separate filing guidelines for the form are provided by the issuing department.

FAQ

Q: What is the purpose of Form 12.980(S)?
A: Form 12.980(S) is used to obtain a final judgment of injunction for protection against sexual violence in Florida.

Q: Who can use Form 12.980(S)?
A: This form can be used by individuals seeking protection against sexual violence.

Q: What is an injunction for protection against sexual violence?
A: An injunction for protection against sexual violence is a court order that aims to protect individuals from sexual violence or the threat of sexual violence.

Q: What should be included in Form 12.980(S)?
A: Form 12.980(S) requires information about the petitioner, the respondent, and details about the sexual violence or threat of sexual violence.

Q: What happens after Form 12.980(S) is filed?
A: After Form 12.980(S) is filed, a judge will review the petition and determine whether to issue a final judgment of injunction.

Q: What can a final judgment of injunction for protection against sexual violence do?
A: A final judgment of injunction can prohibit the respondent from having contact with the petitioner, entering specific locations, and engaging in certain behaviors.

Q: What should a person do if they are in immediate danger?
A: If someone is in immediate danger, they should call 911 or their local law enforcement agency.

ADVERTISEMENT

Form Details:

  • Released on March 1, 2015;
  • The latest edition provided by the Florida Circuit Court;
  • Easy to use and ready to print;
  • Quick to customize;
  • Compatible with most PDF-viewing applications;
  • Fill out the form in our online filing application.

Download a fillable version of Form 12.980(S) by clicking the link below or browse more documents and templates provided by the Florida Circuit Court.

Download Form 12.980(S) Final Judgment of Injunction for Protection Against Sexual Violence (After Notice) - Florida

4.6 of 5 (16 votes)
  • Form 12.980(S) Final Judgment of Injunction for Protection Against Sexual Violence (After Notice) - Florida

    1

  • Form 12.980(S) Final Judgment of Injunction for Protection Against Sexual Violence (After Notice) - Florida, Page 2

    2

  • Form 12.980(S) Final Judgment of Injunction for Protection Against Sexual Violence (After Notice) - Florida, Page 3

    3

  • Form 12.980(S) Final Judgment of Injunction for Protection Against Sexual Violence (After Notice) - Florida, Page 4

    4

  • Form 12.980(S) Final Judgment of Injunction for Protection Against Sexual Violence (After Notice) - Florida, Page 5

    5

  • Form 12.980(S) Final Judgment of Injunction for Protection Against Sexual Violence (After Notice) - Florida, Page 6

    6

  • Form 12.980(S) Final Judgment of Injunction for Protection Against Sexual Violence (After Notice) - Florida, Page 1
  • Form 12.980(S) Final Judgment of Injunction for Protection Against Sexual Violence (After Notice) - Florida, Page 2
  • Form 12.980(S) Final Judgment of Injunction for Protection Against Sexual Violence (After Notice) - Florida, Page 3
  • Form 12.980(S) Final Judgment of Injunction for Protection Against Sexual Violence (After Notice) - Florida, Page 4
  • Form 12.980(S) Final Judgment of Injunction for Protection Against Sexual Violence (After Notice) - Florida, Page 5
  • Form 12.980(S) Final Judgment of Injunction for Protection Against Sexual Violence (After Notice) - Florida, Page 6
Prev 1 2 3 4 5 6 Next
ADVERTISEMENT

Related Documents