Form 12.983(A) Petition to Determine Paternity and for Related Relief - Florida

Form 12.983(A) Petition to Determine Paternity and for Related Relief - Florida

What Is Form 12.983(A)?

This is a legal form that was released by the Florida Courts - a government authority operating within Florida. As of today, no separate filing guidelines for the form are provided by the issuing department.

FAQ

Q: What is Form 12.983(A)?
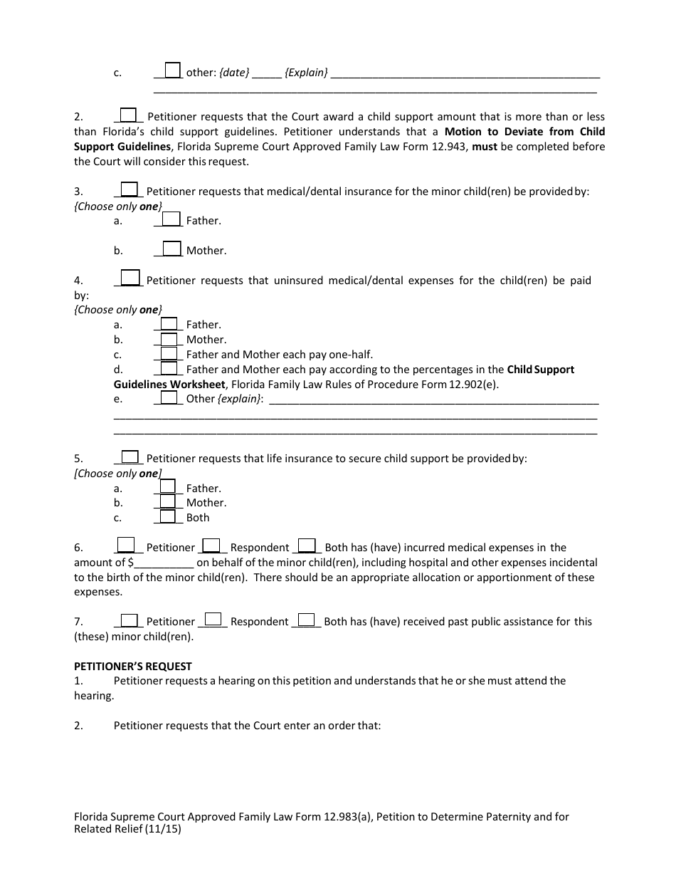
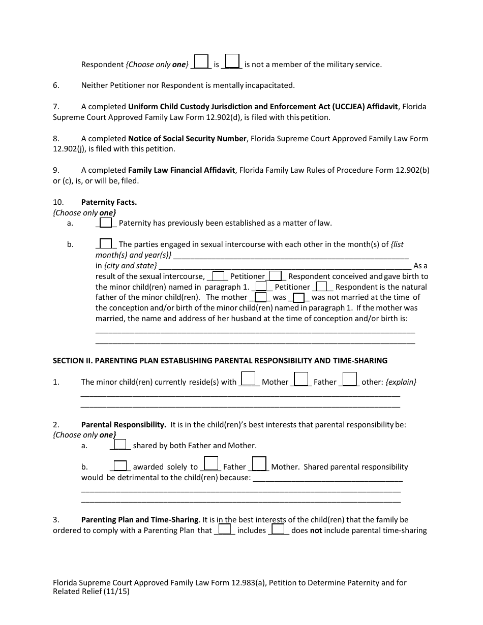
A: Form 12.983(A) is a Petition to Determine Paternity and for Related Relief in the state of Florida.

Q: What is the purpose of Form 12.983(A)?
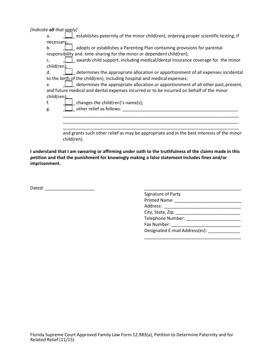
A: The purpose of Form 12.983(A) is to establish paternity and request related legal relief.

Q: Who can use Form 12.983(A)?
A: Form 12.983(A) can be used by a mother, alleged father, or the child in order to establish paternity or request related relief.

Q: What relief can be requested using Form 12.983(A)?
A: Form 12.983(A) allows for the request of various forms of relief related to establishing paternity, such as child support, time-sharing (custody and visitation), health insurance, and other related matters.

Q: Are there any fees associated with filing Form 12.983(A)?
A: Yes, there may be filing fees associated with filing Form 12.983(A). The amount of the fees may vary depending on the county where you file the petition.

Q: What should I do after filling out Form 12.983(A)?
A: After filling out Form 12.983(A), you should file the petition with the clerk of the circuit court in the county where you or the other party resides. You should also serve a copy of the petition on the other party involved.

Q: Can I get legal advice while filling out Form 12.983(A)?
A: While you can fill out Form 12.983(A) on your own, it is recommended that you consult with an attorney if you are unsure about any aspect of the process.

Q: What happens after I file Form 12.983(A)?
A: After you file Form 12.983(A), the court will review your petition and may schedule a hearing to determine paternity and address the requested relief. The court will consider the best interests of the child in making its decision.

Q: What if the alleged father denies paternity?
A: If the alleged father denies paternity, the court may order genetic testing to determine the biological relationship between the alleged father and the child.

ADVERTISEMENT

Form Details:

  • Released on November 1, 2015;
  • The latest edition provided by the Florida Courts;
  • Easy to use and ready to print;
  • Quick to customize;
  • Compatible with most PDF-viewing applications;
  • Fill out the form in our online filing application.

Download a fillable version of Form 12.983(A) by clicking the link below or browse more documents and templates provided by the Florida Courts.

Download Form 12.983(A) Petition to Determine Paternity and for Related Relief - Florida

4.8 of 5 (77 votes)
  • Form 12.983(A) Petition to Determine Paternity and for Related Relief - Florida

    1

  • Form 12.983(A) Petition to Determine Paternity and for Related Relief - Florida, Page 2

    2

  • Form 12.983(A) Petition to Determine Paternity and for Related Relief - Florida, Page 3

    3

  • Form 12.983(A) Petition to Determine Paternity and for Related Relief - Florida, Page 4

    4

  • Form 12.983(A) Petition to Determine Paternity and for Related Relief - Florida, Page 5

    5

  • Form 12.983(A) Petition to Determine Paternity and for Related Relief - Florida, Page 6

    6

  • Form 12.983(A) Petition to Determine Paternity and for Related Relief - Florida, Page 7

    7

  • Form 12.983(A) Petition to Determine Paternity and for Related Relief - Florida, Page 8

    8

  • Form 12.983(A) Petition to Determine Paternity and for Related Relief - Florida, Page 9

    9

  • Form 12.983(A) Petition to Determine Paternity and for Related Relief - Florida, Page 10

    10

  • Form 12.983(A) Petition to Determine Paternity and for Related Relief - Florida, Page 1
  • Form 12.983(A) Petition to Determine Paternity and for Related Relief - Florida, Page 2
  • Form 12.983(A) Petition to Determine Paternity and for Related Relief - Florida, Page 3
  • Form 12.983(A) Petition to Determine Paternity and for Related Relief - Florida, Page 4
  • Form 12.983(A) Petition to Determine Paternity and for Related Relief - Florida, Page 5
  • Form 12.983(A) Petition to Determine Paternity and for Related Relief - Florida, Page 6
  • Form 12.983(A) Petition to Determine Paternity and for Related Relief - Florida, Page 7
  • Form 12.983(A) Petition to Determine Paternity and for Related Relief - Florida, Page 8
  • Form 12.983(A) Petition to Determine Paternity and for Related Relief - Florida, Page 9
  • Form 12.983(A) Petition to Determine Paternity and for Related Relief - Florida, Page 10
Prev 1 2 3 4 5 ... 10 Next
ADVERTISEMENT