Form 12.995(A) Parenting Plan - Florida

Form 12.995(A) Parenting Plan - Florida

What Is Form 12.995(A)?

This is a legal form that was released by the Florida Courts - a government authority operating within Florida. As of today, no separate filing guidelines for the form are provided by the issuing department.

FAQ

Q: What is Form 12.995(A) Parenting Plan?
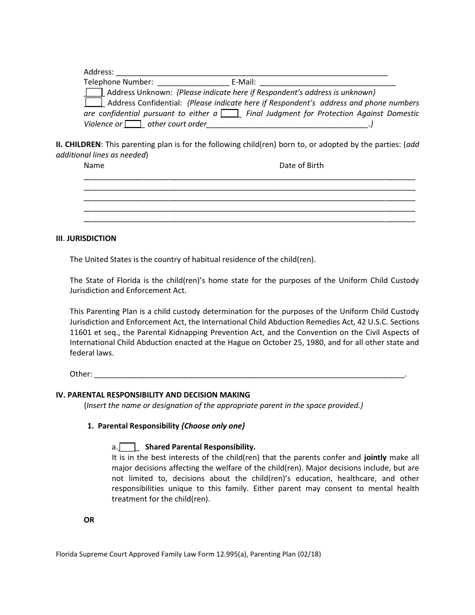
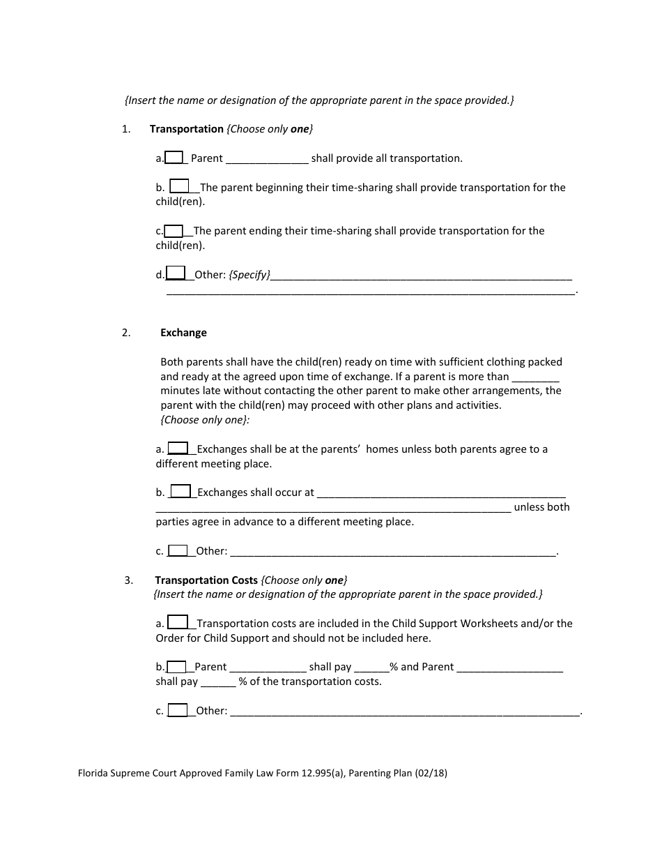
A: Form 12.995(A) Parenting Plan is a legal document used in Florida for parents to create a plan detailing how they will co-parent and make decisions regarding their children after a divorce or separation.

Q: Who is required to use Form 12.995(A) Parenting Plan?
A: In Florida, parents who are divorcing or separating and have children under the age of 18 are typically required to use Form 12.995(A) Parenting Plan.

Q: What does Form 12.995(A) Parenting Plan include?
A: Form 12.995(A) Parenting Plan includes provisions for time-sharing schedule, decision-making responsibilities, communication, and other important aspects of co-parenting.

ADVERTISEMENT

Form Details:

  • Released on February 1, 2018;
  • The latest edition provided by the Florida Courts;
  • Easy to use and ready to print;
  • Quick to customize;
  • Compatible with most PDF-viewing applications;
  • Fill out the form in our online filing application.

Download a fillable version of Form 12.995(A) by clicking the link below or browse more documents and templates provided by the Florida Courts.

Download Form 12.995(A) Parenting Plan - Florida

4.7 of 5 (62 votes)
  • Form 12.995(A) Parenting Plan - Florida

    1

  • Form 12.995(A) Parenting Plan - Florida, Page 2

    2

  • Form 12.995(A) Parenting Plan - Florida, Page 3

    3

  • Form 12.995(A) Parenting Plan - Florida, Page 4

    4

  • Form 12.995(A) Parenting Plan - Florida, Page 5

    5

  • Form 12.995(A) Parenting Plan - Florida, Page 6

    6

  • Form 12.995(A) Parenting Plan - Florida, Page 7

    7

  • Form 12.995(A) Parenting Plan - Florida, Page 8

    8

  • Form 12.995(A) Parenting Plan - Florida, Page 9

    9

  • Form 12.995(A) Parenting Plan - Florida, Page 10

    10

  • Form 12.995(A) Parenting Plan - Florida, Page 11

    11

  • Form 12.995(A) Parenting Plan - Florida, Page 12

    12

  • Form 12.995(A) Parenting Plan - Florida, Page 13

    13

  • Form 12.995(A) Parenting Plan - Florida, Page 14

    14

  • Form 12.995(A) Parenting Plan - Florida, Page 15

    15

  • Form 12.995(A) Parenting Plan - Florida, Page 16

    16

  • Form 12.995(A) Parenting Plan - Florida, Page 17

    17

  • Form 12.995(A) Parenting Plan - Florida, Page 18

    18

  • Form 12.995(A) Parenting Plan - Florida, Page 1
  • Form 12.995(A) Parenting Plan - Florida, Page 2
  • Form 12.995(A) Parenting Plan - Florida, Page 3
  • Form 12.995(A) Parenting Plan - Florida, Page 4
  • Form 12.995(A) Parenting Plan - Florida, Page 5
  • Form 12.995(A) Parenting Plan - Florida, Page 6
  • Form 12.995(A) Parenting Plan - Florida, Page 7
  • Form 12.995(A) Parenting Plan - Florida, Page 8
  • Form 12.995(A) Parenting Plan - Florida, Page 9
  • Form 12.995(A) Parenting Plan - Florida, Page 10
  • Form 12.995(A) Parenting Plan - Florida, Page 11
  • Form 12.995(A) Parenting Plan - Florida, Page 12
  • Form 12.995(A) Parenting Plan - Florida, Page 13
  • Form 12.995(A) Parenting Plan - Florida, Page 14
  • Form 12.995(A) Parenting Plan - Florida, Page 15
  • Form 12.995(A) Parenting Plan - Florida, Page 16
  • Form 12.995(A) Parenting Plan - Florida, Page 17
  • Form 12.995(A) Parenting Plan - Florida, Page 18
Prev 1 2 3 4 5 ... 18 Next
ADVERTISEMENT