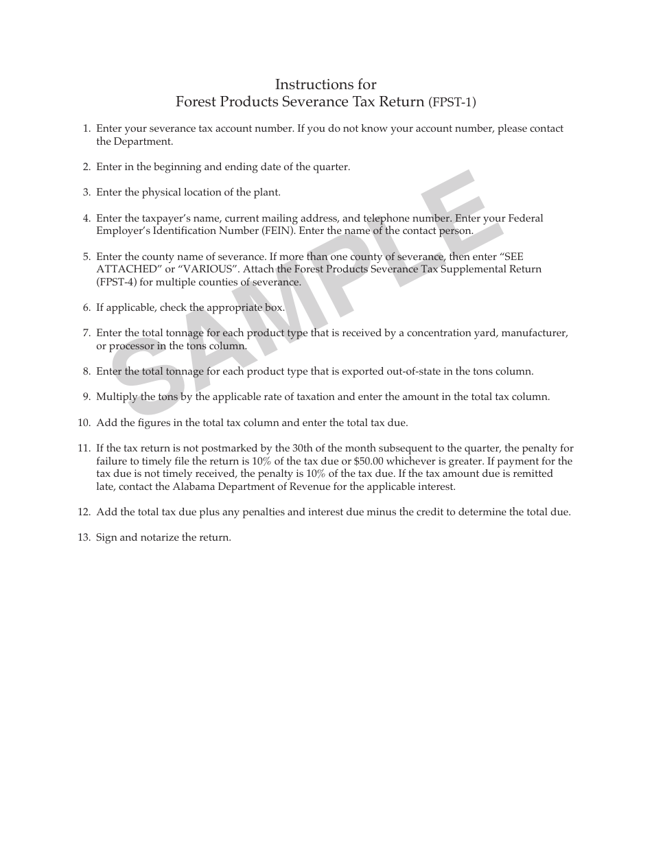
Form B&L: FPST-1 Forest Products Severance Tax Return - Sample - Alabama

Notification Icon This version of the form is not currently in use and is provided for reference only. Download this version of Form B&L: FPST-1 for the current year.

Form B&L: FPST-1 Forest Products Severance Tax Return - Sample - Alabama

What Is Form B&L: FPST-1?

This is a legal form that was released by the Alabama Department of Revenue - a government authority operating within Alabama. As of today, no separate filing guidelines for the form are provided by the issuing department.

FAQ

Q: What is Form B&L: FPST-1?
A: Form B&L: FPST-1 is the Forest ProductsSeverance Tax Return.

Q: What is the purpose of Form B&L: FPST-1?
A: The purpose of Form B&L: FPST-1 is to report and remit severance taxes on forest products in Alabama.

Q: Who needs to file Form B&L: FPST-1?
A: Any person or business engaged in the severance of forest products in Alabama needs to file Form B&L: FPST-1.

Q: What are considered forest products?
A: Forest products include timber, logs, pulpwood, and other similar products obtained from forests.

Q: When is Form B&L: FPST-1 due?
A: Form B&L: FPST-1 is due on or before the 20th day of the month following the end of the calendar quarter in which the severance occurred.

Q: Are there any penalties for late or incorrect filing of Form B&L: FPST-1?
A: Yes, there are penalties for late or incorrect filing of Form B&L: FPST-1, including interest on unpaid taxes and potential additional penalties.

ADVERTISEMENT

Form Details:

  • Released on June 1, 2017;
  • The latest edition provided by the Alabama Department of Revenue;
  • Easy to use and ready to print;
  • Quick to customize;
  • Compatible with most PDF-viewing applications;
  • Fill out the form in our online filing application.

Download a printable version of Form B&L: FPST-1 by clicking the link below or browse more documents and templates provided by the Alabama Department of Revenue.

Download Form B&L: FPST-1 Forest Products Severance Tax Return - Sample - Alabama

4.4 of 5 (25 votes)
  • Form B&L: FPST-1 Forest Products Severance Tax Return - Sample - Alabama

    1

  • Form B&L: FPST-1 Forest Products Severance Tax Return - Sample - Alabama, Page 2

    2

  • Form BL: FPST-1 Forest Products Severance Tax Return - Sample - Alabama, Page 1
  • Form BL: FPST-1 Forest Products Severance Tax Return - Sample - Alabama, Page 2
Prev 1 2 Next
ADVERTISEMENT