Form DHCS5074 6-month Dui Program Quarterly Licensing and Participant Enrollment Report - California

Form DHCS5074 6-month Dui Program Quarterly Licensing and Participant Enrollment Report - California

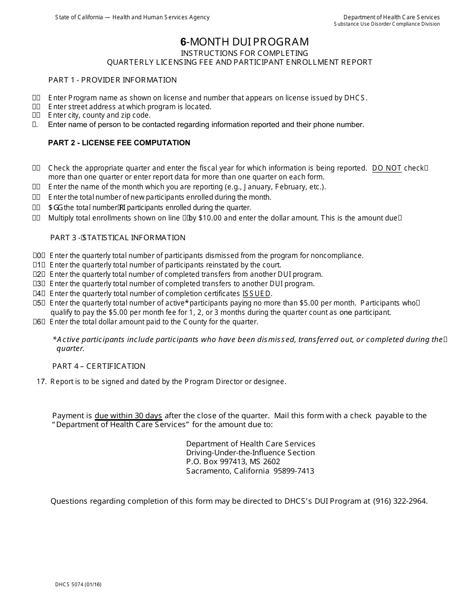
What Is Form DHCS5074?

This is a legal form that was released by the California Department of Health Care Services - a government authority operating within California. As of today, no separate filing guidelines for the form are provided by the issuing department.

FAQ

Q: What is Form DHCS5074?
A: Form DHCS5074 is a report used for the 6-month DUI Program Quarterly Licensing and Participant Enrollment in California.

Q: What is the purpose of Form DHCS5074?
A: The purpose of Form DHCS5074 is to report the licensing and participant enrollment in 6-month DUI programs on a quarterly basis in California.

Q: Who needs to fill out Form DHCS5074?
A: The 6-month DUI program providers in California are responsible for filling out Form DHCS5074.

Q: How often is Form DHCS5074 filled out?
A: Form DHCS5074 is filled out on a quarterly basis.

Q: Are there any fees associated with Form DHCS5074?
A: There are no specific fees associated with submitting Form DHCS5074, but there may be fees associated with the DUI program itself.

Q: What information is required on Form DHCS5074?
A: Form DHCS5074 requires information about the DUI program provider, the number of participants enrolled, and other program-specific details.

Q: Is Form DHCS5074 confidential?
A: Form DHCS5074 may contain confidential information and should be handled accordingly.

Q: Are there any consequences for not submitting Form DHCS5074?
A: Failure to submit Form DHCS5074 or providing inaccurate information may result in penalties or license suspension for the DUI program provider.

Q: Can Form DHCS5074 be submitted electronically?
A: Yes, Form DHCS5074 can often be submitted electronically, depending on the requirements of the California Department of Health Care Services (DHCS).

ADVERTISEMENT

Form Details:

  • Released on January 1, 2016;
  • The latest edition provided by the California Department of Health Care Services;
  • Easy to use and ready to print;
  • Quick to customize;
  • Compatible with most PDF-viewing applications;
  • Fill out the form in our online filing application.

Download a fillable version of Form DHCS5074 by clicking the link below or browse more documents and templates provided by the California Department of Health Care Services.

Download Form DHCS5074 6-month Dui Program Quarterly Licensing and Participant Enrollment Report - California

4.3 of 5 (22 votes)
  • Form DHCS5074 6-month Dui Program Quarterly Licensing and Participant Enrollment Report - California

    1

  • Form DHCS5074 6-month Dui Program Quarterly Licensing and Participant Enrollment Report - California, Page 2

    2

  • Form DHCS5074 6-month Dui Program Quarterly Licensing and Participant Enrollment Report - California, Page 1
  • Form DHCS5074 6-month Dui Program Quarterly Licensing and Participant Enrollment Report - California, Page 2
Prev 1 2 Next
ADVERTISEMENT