Form MARK-2 Application for Renewal - Maine

Form MARK-2 Application for Renewal - Maine

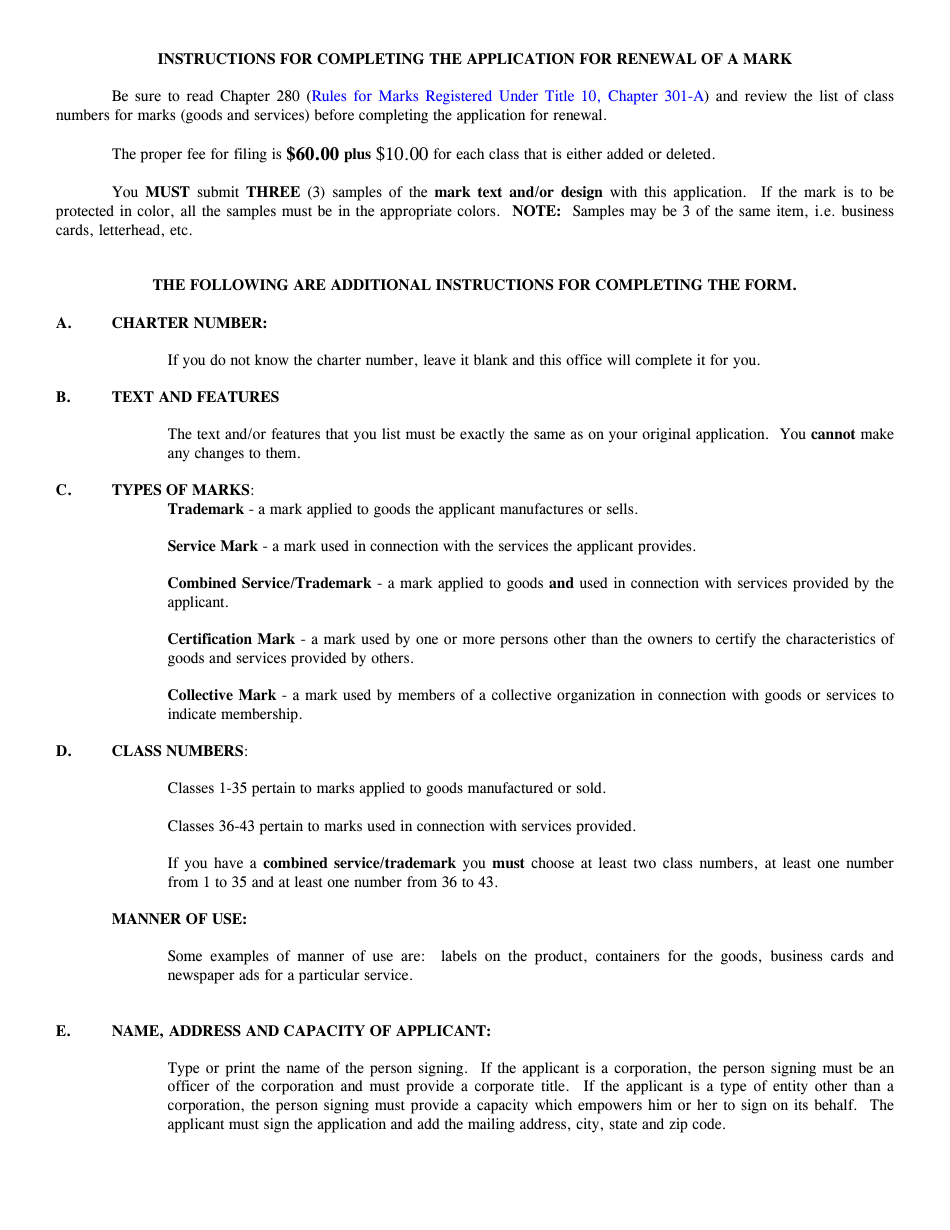
What Is Form MARK-2?

This is a legal form that was released by the Maine Department of the Secretary of State - a government authority operating within Maine. As of today, no separate filing guidelines for the form are provided by the issuing department.

FAQ

Q: How do I renew my Form MARK-2 Application?
A: To renew your Form MARK-2 Application, you need to fill out a renewal form and submit it to the appropriate authority in Maine.

Q: What documents do I need to submit for renewal?
A: You will need to submit the completed renewal form along with any required supporting documents, such as identification proof or payment proof.

Q: What is the renewal period for the Form MARK-2 Application?
A: The renewal period for the Form MARK-2 Application may vary. It is important to check the expiration date on your current application and initiate the renewal process well in advance to avoid any delays or penalties.

Q: How long does it take to process the renewal?
A: The processing time for renewing the Form MARK-2 Application can vary. It is advisable to submit your renewal application at least several weeks or months before the expiration date to ensure sufficient processing time.

ADVERTISEMENT

Form Details:

  • Released on August 1, 2004;
  • The latest edition provided by the Maine Department of the Secretary of State;
  • Easy to use and ready to print;
  • Quick to customize;
  • Compatible with most PDF-viewing applications;
  • Fill out the form in our online filing application.

Download a fillable version of Form MARK-2 by clicking the link below or browse more documents and templates provided by the Maine Department of the Secretary of State.

Download Form MARK-2 Application for Renewal - Maine

4.8 of 5 (44 votes)
  • Form MARK-2 Application for Renewal - Maine

    1

  • Form MARK-2 Application for Renewal - Maine, Page 2

    2

  • Form MARK-2 Application for Renewal - Maine, Page 3

    3

  • Form MARK-2 Application for Renewal - Maine, Page 4

    4

  • Form MARK-2 Application for Renewal - Maine, Page 5

    5

  • Form MARK-2 Application for Renewal - Maine, Page 1
  • Form MARK-2 Application for Renewal - Maine, Page 2
  • Form MARK-2 Application for Renewal - Maine, Page 3
  • Form MARK-2 Application for Renewal - Maine, Page 4
  • Form MARK-2 Application for Renewal - Maine, Page 5
Prev 1 2 3 4 5 Next
ADVERTISEMENT

Related Documents