Form TC63-64 Pre-construction Conference Checklist - Kentucky

Notification Icon This version of the form is not currently in use and is provided for reference only. Download this version of Form TC63-64 for the current year.

Form TC63-64 Pre-construction Conference Checklist - Kentucky

What Is Form TC63-64?

This is a legal form that was released by the Kentucky Transportation Cabinet - a government authority operating within Kentucky. As of today, no separate filing guidelines for the form are provided by the issuing department.

FAQ

Q: What is the Form TC63-64?
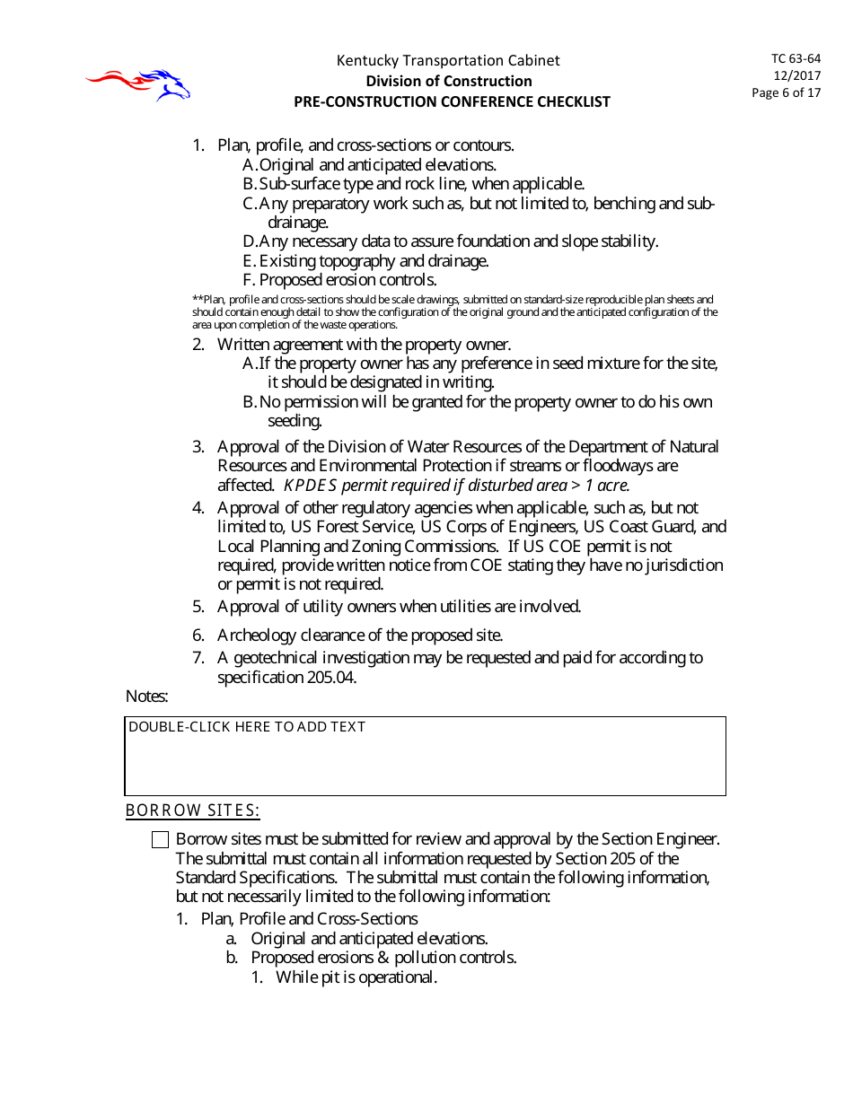
A: Form TC63-64 is the Pre-construction Conference Checklist used in Kentucky.

Q: What is the purpose of Form TC63-64?
A: The purpose of Form TC63-64 is to ensure that all necessary pre-construction requirements are met before beginning a construction project.

Q: Who uses Form TC63-64?
A: Form TC63-64 is used by contractors, project managers, and other individuals involved in the pre-construction phase of a project in Kentucky.

Q: What information is included in Form TC63-64?
A: Form TC63-64 includes information about the project location, project specifications, required permits, and other pre-construction requirements.

Q: When should Form TC63-64 be completed?
A: Form TC63-64 should be completed during the pre-construction conference, which typically takes place before any construction activities begin.

Q: Is Form TC63-64 mandatory for all construction projects in Kentucky?
A: Yes, Form TC63-64 is mandatory for all construction projects in Kentucky, as it ensures compliance with pre-construction requirements.

Q: Who is responsible for completing Form TC63-64?
A: The contractor or project manager is responsible for completing Form TC63-64 and ensuring that all necessary information is included.

Q: What happens after Form TC63-64 is completed?
A: After Form TC63-64 is completed, it is submitted to the Kentucky Department of Transportation for review and approval before construction can begin.

Q: Are there any fees associated with Form TC63-64?
A: No, there are no fees associated with Form TC63-64. It is a standard checklist provided by the Kentucky Department of Transportation.

ADVERTISEMENT

Form Details:

  • Released on December 1, 2017;
  • The latest edition provided by the Kentucky Transportation Cabinet;
  • Easy to use and ready to print;
  • Quick to customize;
  • Compatible with most PDF-viewing applications;
  • Fill out the form in our online filing application.

Download a fillable version of Form TC63-64 by clicking the link below or browse more documents and templates provided by the Kentucky Transportation Cabinet.

Download Form TC63-64 Pre-construction Conference Checklist - Kentucky

4.6 of 5 (84 votes)
  • Form TC63-64 Pre-construction Conference Checklist - Kentucky

    1

  • Form TC63-64 Pre-construction Conference Checklist - Kentucky, Page 2

    2

  • Form TC63-64 Pre-construction Conference Checklist - Kentucky, Page 3

    3

  • Form TC63-64 Pre-construction Conference Checklist - Kentucky, Page 4

    4

  • Form TC63-64 Pre-construction Conference Checklist - Kentucky, Page 5

    5

  • Form TC63-64 Pre-construction Conference Checklist - Kentucky, Page 6

    6

  • Form TC63-64 Pre-construction Conference Checklist - Kentucky, Page 7

    7

  • Form TC63-64 Pre-construction Conference Checklist - Kentucky, Page 8

    8

  • Form TC63-64 Pre-construction Conference Checklist - Kentucky, Page 9

    9

  • Form TC63-64 Pre-construction Conference Checklist - Kentucky, Page 10

    10

  • Form TC63-64 Pre-construction Conference Checklist - Kentucky, Page 11

    11

  • Form TC63-64 Pre-construction Conference Checklist - Kentucky, Page 12

    12

  • Form TC63-64 Pre-construction Conference Checklist - Kentucky, Page 13

    13

  • Form TC63-64 Pre-construction Conference Checklist - Kentucky, Page 14

    14

  • Form TC63-64 Pre-construction Conference Checklist - Kentucky, Page 15

    15

  • Form TC63-64 Pre-construction Conference Checklist - Kentucky, Page 16

    16

  • Form TC63-64 Pre-construction Conference Checklist - Kentucky, Page 17

    17

  • Form TC63-64 Pre-construction Conference Checklist - Kentucky, Page 1
  • Form TC63-64 Pre-construction Conference Checklist - Kentucky, Page 2
  • Form TC63-64 Pre-construction Conference Checklist - Kentucky, Page 3
  • Form TC63-64 Pre-construction Conference Checklist - Kentucky, Page 4
  • Form TC63-64 Pre-construction Conference Checklist - Kentucky, Page 5
  • Form TC63-64 Pre-construction Conference Checklist - Kentucky, Page 6
  • Form TC63-64 Pre-construction Conference Checklist - Kentucky, Page 7
  • Form TC63-64 Pre-construction Conference Checklist - Kentucky, Page 8
  • Form TC63-64 Pre-construction Conference Checklist - Kentucky, Page 9
  • Form TC63-64 Pre-construction Conference Checklist - Kentucky, Page 10
  • Form TC63-64 Pre-construction Conference Checklist - Kentucky, Page 11
  • Form TC63-64 Pre-construction Conference Checklist - Kentucky, Page 12
  • Form TC63-64 Pre-construction Conference Checklist - Kentucky, Page 13
  • Form TC63-64 Pre-construction Conference Checklist - Kentucky, Page 14
  • Form TC63-64 Pre-construction Conference Checklist - Kentucky, Page 15
  • Form TC63-64 Pre-construction Conference Checklist - Kentucky, Page 16
  • Form TC63-64 Pre-construction Conference Checklist - Kentucky, Page 17
Prev 1 2 3 4 5 ... 17 Next
ADVERTISEMENT