Form MVD-354 Application for Trailer Transit License - Maine

Notification Icon This version of the form is not currently in use and is provided for reference only. Download this version of Form MVD-354 for the current year.

Form MVD-354 Application for Trailer Transit License - Maine

What Is Form MVD-354?

This is a legal form that was released by the Maine Department of the Secretary of State - a government authority operating within Maine. As of today, no separate filing guidelines for the form are provided by the issuing department.

FAQ

Q: What is Form MVD-354?
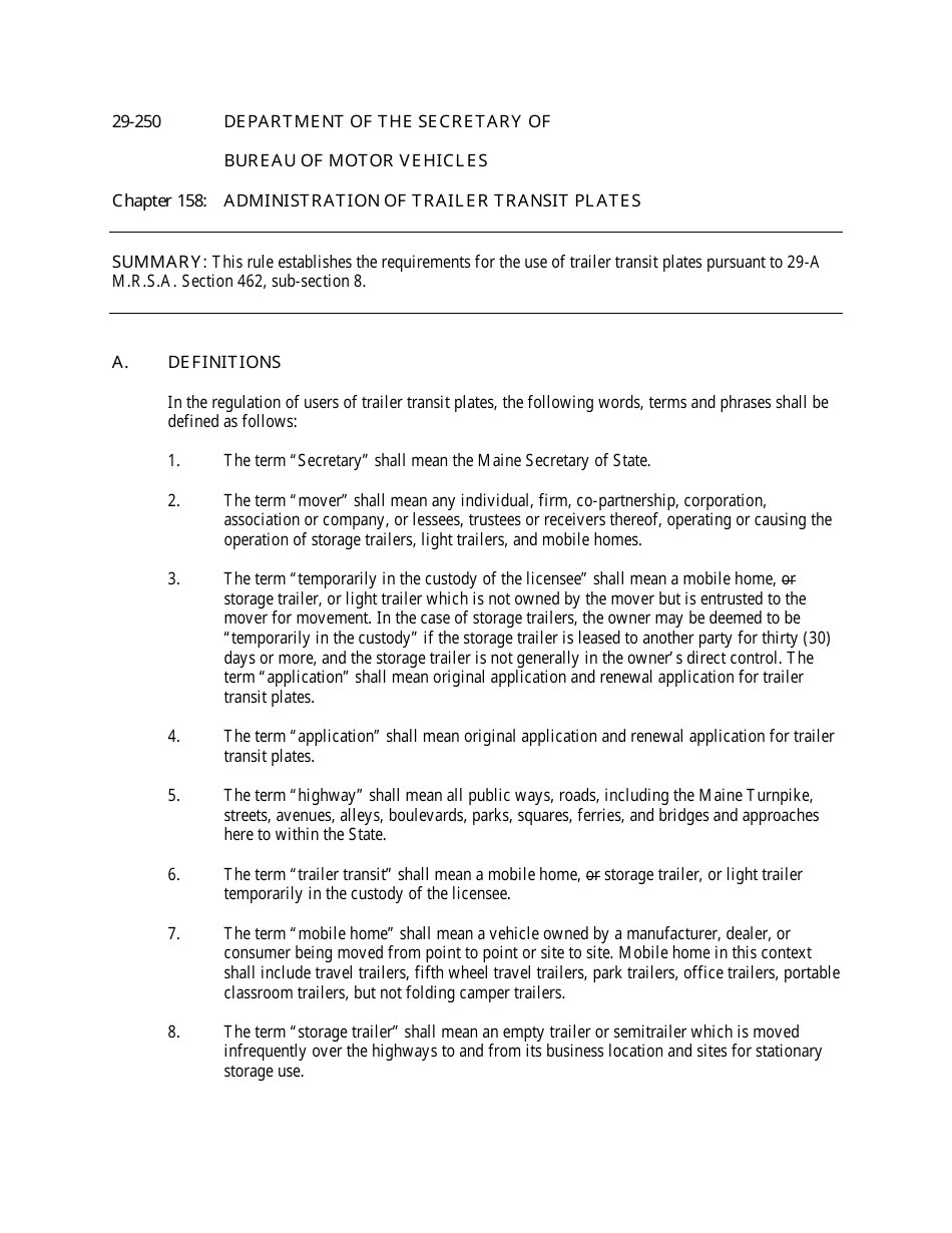
A: Form MVD-354 is the Application for Trailer Transit License in Maine.

Q: What is the purpose of Form MVD-354?
A: The purpose of Form MVD-354 is to apply for a trailer transit license in Maine.

Q: What information is required in Form MVD-354?
A: Form MVD-354 requires information such as owner's name, address, trailer details, and insurance information.

Q: How do I fill out Form MVD-354?
A: You need to fill in your personal information, trailer details, and insurance information accurately on Form MVD-354.

Q: How long does it take to process Form MVD-354?
A: The processing time for Form MVD-354 varies. You can contact the Maine BMV for more information.

Q: Is my trailer transit license valid in other states?
A: No, the trailer transit license obtained through Form MVD-354 is only valid in Maine.

ADVERTISEMENT

Form Details:

  • Released on March 1, 2018;
  • The latest edition provided by the Maine Department of the Secretary of State;
  • Easy to use and ready to print;
  • Quick to customize;
  • Compatible with most PDF-viewing applications;
  • Fill out the form in our online filing application.

Download a fillable version of Form MVD-354 by clicking the link below or browse more documents and templates provided by the Maine Department of the Secretary of State.

Download Form MVD-354 Application for Trailer Transit License - Maine

4.3 of 5 (50 votes)
  • Form MVD-354 Application for Trailer Transit License - Maine

    1

  • Form MVD-354 Application for Trailer Transit License - Maine, Page 2

    2

  • Form MVD-354 Application for Trailer Transit License - Maine, Page 3

    3

  • Form MVD-354 Application for Trailer Transit License - Maine, Page 4

    4

  • Form MVD-354 Application for Trailer Transit License - Maine, Page 5

    5

  • Form MVD-354 Application for Trailer Transit License - Maine, Page 6

    6

  • Form MVD-354 Application for Trailer Transit License - Maine, Page 1
  • Form MVD-354 Application for Trailer Transit License - Maine, Page 2
  • Form MVD-354 Application for Trailer Transit License - Maine, Page 3
  • Form MVD-354 Application for Trailer Transit License - Maine, Page 4
  • Form MVD-354 Application for Trailer Transit License - Maine, Page 5
  • Form MVD-354 Application for Trailer Transit License - Maine, Page 6
Prev 1 2 3 4 5 6 Next
ADVERTISEMENT

Related Documents