Form FIS2322 Property Insurance Fire Loss Program Enrollment and Notification - Michigan

Form FIS2322 Property Insurance Fire Loss Program Enrollment and Notification - Michigan

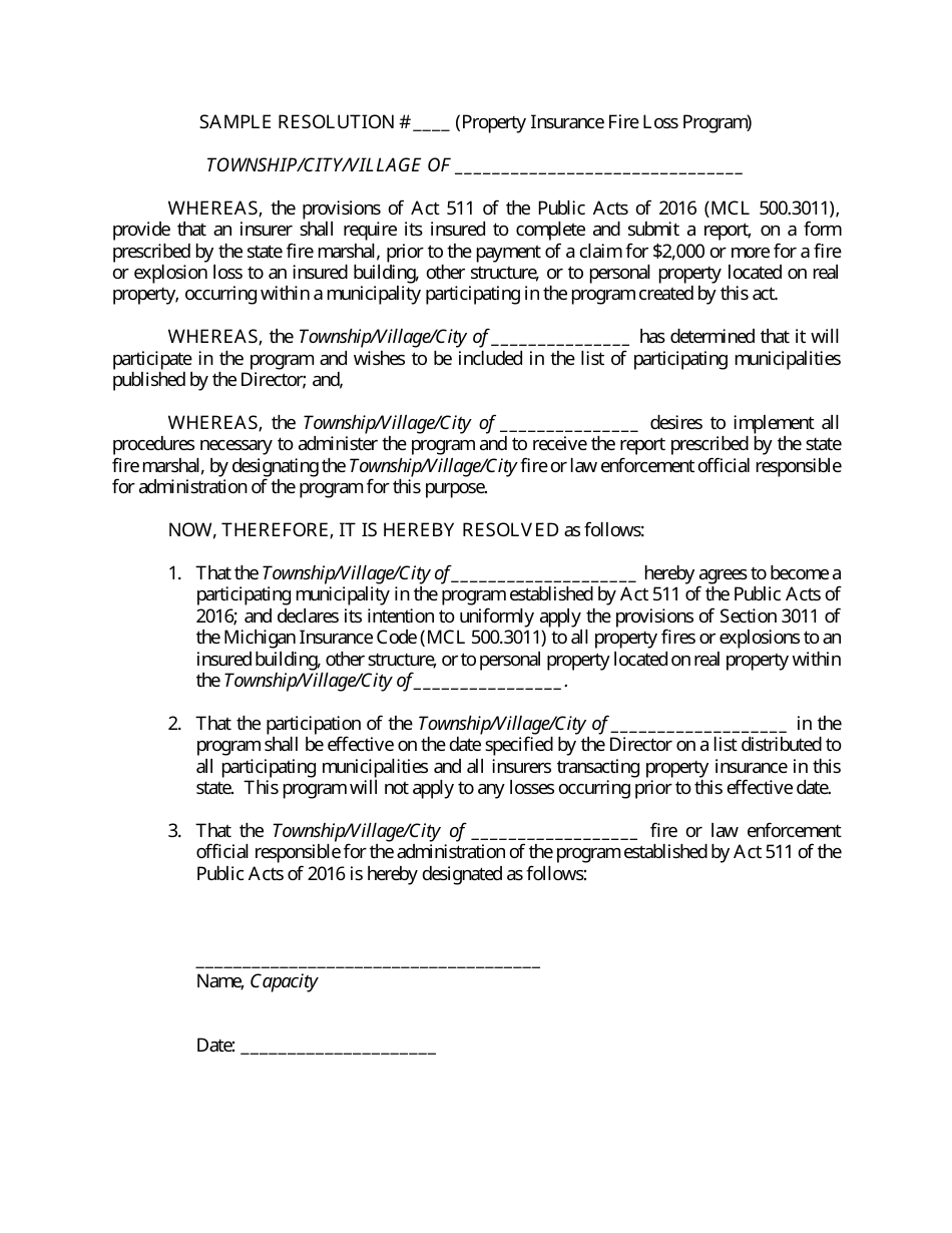
What Is Form FIS2322?

This is a legal form that was released by the Michigan Department of Insurance and Financial Services - a government authority operating within Michigan. As of today, no separate filing guidelines for the form are provided by the issuing department.

FAQ

Q: What is the FIS2322 Property Insurance Fire Loss Program?
A: The FIS2322 Property Insurance Fire Loss Program is a program in Michigan that provides coverage for fire-related damage to real property.

Q: Who is eligible for the FIS2322 program?
A: Owners of real property in Michigan are eligible for the FIS2322 program.

Q: What does the FIS2322 program cover?
A: The FIS2322 program covers fire-related damage to real property, including the cost of repairs or replacement.

Q: How do I enroll in the FIS2322 program?
A: To enroll in the FIS2322 program, you must complete the enrollment form and submit it to the appropriate authorities.

Q: Is there a fee to enroll in the FIS2322 program?
A: No, there is no fee to enroll in the FIS2322 program.

Q: What should I do if I have a fire-related loss?
A: If you have a fire-related loss, you should notify the FIS2322 program as soon as possible to initiate the claims process.

ADVERTISEMENT

Form Details:

  • Released on February 1, 2017;
  • The latest edition provided by the Michigan Department of Insurance and Financial Services;
  • Easy to use and ready to print;
  • Quick to customize;
  • Compatible with most PDF-viewing applications;
  • Fill out the form in our online filing application.

Download a fillable version of Form FIS2322 by clicking the link below or browse more documents and templates provided by the Michigan Department of Insurance and Financial Services.

Download Form FIS2322 Property Insurance Fire Loss Program Enrollment and Notification - Michigan

4.6 of 5 (67 votes)
  • Form FIS2322 Property Insurance Fire Loss Program Enrollment and Notification - Michigan

    1

  • Form FIS2322 Property Insurance Fire Loss Program Enrollment and Notification - Michigan, Page 2

    2

  • Form FIS2322 Property Insurance Fire Loss Program Enrollment and Notification - Michigan, Page 3

    3

  • Form FIS2322 Property Insurance Fire Loss Program Enrollment and Notification - Michigan, Page 1
  • Form FIS2322 Property Insurance Fire Loss Program Enrollment and Notification - Michigan, Page 2
  • Form FIS2322 Property Insurance Fire Loss Program Enrollment and Notification - Michigan, Page 3
Prev 1 2 3 Next
ADVERTISEMENT