Form FIS0376 Fire Insurance Withholding Program Enrollment and Notification - Michigan

Form FIS0376 Fire Insurance Withholding Program Enrollment and Notification - Michigan

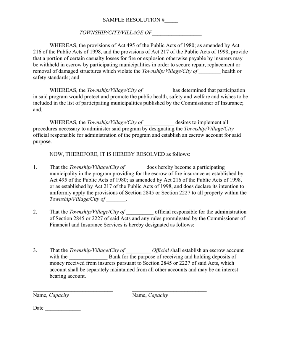
What Is Form FIS0376?

This is a legal form that was released by the Michigan Department of Insurance and Financial Services - a government authority operating within Michigan. As of today, no separate filing guidelines for the form are provided by the issuing department.

FAQ

Q: What is FIS0376 Fire Insurance Withholding Program?
A: FIS0376 Fire Insurance Withholding Program is a program in Michigan that allows the collection of fire insurance surcharges from property owners.

Q: Who is eligible for the FIS0376 Fire Insurance Withholding Program?
A: Property owners in Michigan are eligible for the FIS0376 Fire Insurance Withholding Program.

Q: What is the purpose of the FIS0376 Fire Insurance Withholding Program?
A: The purpose of the FIS0376 Fire Insurance Withholding Program is to ensure that fire insurance premiums are collected and used to fund fire protection services.

Q: How does the FIS0376 Fire Insurance Withholding Program work?
A: Under the FIS0376 Fire Insurance Withholding Program, property owners authorize their insurance companies to withhold fire insurance surcharges from their premiums and remit them to the State of Michigan.

Q: How do property owners enroll in the FIS0376 Fire Insurance Withholding Program?
A: Property owners can enroll in the FIS0376 Fire Insurance Withholding Program by completing the enrollment form and submitting it to the Michigan Department of Insurance and Financial Services.

Q: Are property owners required to participate in the FIS0376 Fire Insurance Withholding Program?
A: Participation in the FIS0376 Fire Insurance Withholding Program is voluntary for property owners in Michigan.

Q: What are the benefits of participating in the FIS0376 Fire Insurance Withholding Program?
A: By participating in the FIS0376 Fire Insurance Withholding Program, property owners can ensure that their fire insurance premiums are being used to support fire protection services in their community.

ADVERTISEMENT

Form Details:

  • Released on June 1, 2013;
  • The latest edition provided by the Michigan Department of Insurance and Financial Services;
  • Easy to use and ready to print;
  • Quick to customize;
  • Compatible with most PDF-viewing applications;
  • Fill out the form in our online filing application.

Download a fillable version of Form FIS0376 by clicking the link below or browse more documents and templates provided by the Michigan Department of Insurance and Financial Services.

Download Form FIS0376 Fire Insurance Withholding Program Enrollment and Notification - Michigan

4.5 of 5 (25 votes)
  • Form FIS0376 Fire Insurance Withholding Program Enrollment and Notification - Michigan

    1

  • Form FIS0376 Fire Insurance Withholding Program Enrollment and Notification - Michigan, Page 2

    2

  • Form FIS0376 Fire Insurance Withholding Program Enrollment and Notification - Michigan, Page 3

    3

  • Form FIS0376 Fire Insurance Withholding Program Enrollment and Notification - Michigan, Page 1
  • Form FIS0376 Fire Insurance Withholding Program Enrollment and Notification - Michigan, Page 2
  • Form FIS0376 Fire Insurance Withholding Program Enrollment and Notification - Michigan, Page 3
Prev 1 2 3 Next
ADVERTISEMENT